Skip to content

337. 打家劫舍 III #81

@webVueBlog

Description

@webVueBlog

337. 打家劫舍 III

Description

Difficulty: 中等

Related Topics: , 深度优先搜索, 动态规划, 二叉树

小偷又发现了一个新的可行窃的地区。这个地区只有一个入口,我们称之为 root 。

除了 root 之外,每栋房子有且只有一个“父“房子与之相连。一番侦察之后,聪明的小偷意识到“这个地方的所有房屋的排列类似于一棵二叉树”。 如果 两个直接相连的房子在同一天晚上被打劫 ,房屋将自动报警。

给定二叉树的 root 。返回 在不触动警报的情况下 ,小偷能够盗取的最高金额 。

示例 1:

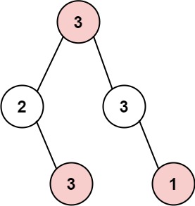
输入: root = [3,2,3,null,3,null,1]
输出: 7 
解释: 小偷一晚能够盗取的最高金额 3 + 3 + 1 = 7

示例 2:

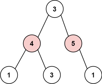
输入: root = [3,4,5,1,3,null,1]
输出: 9
解释: 小偷一晚能够盗取的最高金额 4 + 5 = 9

提示:

  • 树的节点数在 [1, 104] 范围内
  • 0 <= Node.val <= 104

Solution

Language: JavaScript

/**
 * Definition for a binary tree node.
 * function TreeNode(val, left, right) {
 *     this.val = (val===undefined ? 0 : val)
 *     this.left = (left===undefined ? null : left)
 *     this.right = (right===undefined ? null : right)
 * }
 */
/**
 * @param {TreeNode} root
 * @return {number}
 */
var rob = function(root) {
    // 后序遍历函数
    const postOrder = node => {
        if (!node) return [0, 0]

        const left = postOrder(node.left)
        const right = postOrder(node.right)

        // 不偷当前节点,左右子节点都可以偷或不偷,取最大值
        const DoNot = Math.max(left[0], left[1]) + Math.max(right[0], right[1])
        // 偷当前节点,左右子节点只能不偷
        const Do = node.val + left[0] + right[0]

        // [不偷,偷]
        return [DoNot, Do]
    }

    const res = postOrder(root)
    // 返回最大值
    return Math.max(...res)
}

Metadata

Metadata

Assignees

No one assigned

    Labels

    No labels
    No labels

    Projects

    No projects

    Milestone

    No milestone

    Relationships

    None yet

    Development

    No branches or pull requests

    Issue actions