Skip to content

297. 二叉树的序列化与反序列化 #75

@webVueBlog

Description

@webVueBlog

297. 二叉树的序列化与反序列化

Description

Difficulty: 困难

Related Topics: , 深度优先搜索, 广度优先搜索, 设计, 字符串, 二叉树

序列化是将一个数据结构或者对象转换为连续的比特位的操作,进而可以将转换后的数据存储在一个文件或者内存中,同时也可以通过网络传输到另一个计算机环境,采取相反方式重构得到原数据。

请设计一个算法来实现二叉树的序列化与反序列化。这里不限定你的序列 / 反序列化算法执行逻辑,你只需要保证一个二叉树可以被序列化为一个字符串并且将这个字符串反序列化为原始的树结构。

提示: 输入输出格式与 LeetCode 目前使用的方式一致,详情请参阅 。你并非必须采取这种方式,你也可以采用其他的方法解决这个问题。

示例 1:

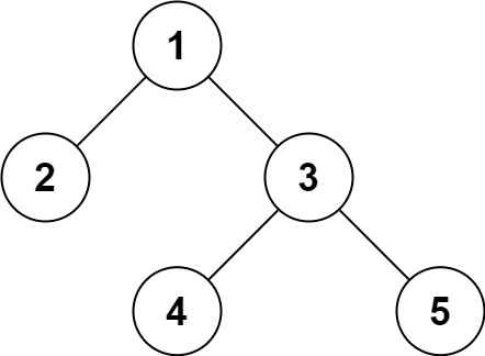
输入:root = [1,2,3,null,null,4,5]
输出:[1,2,3,null,null,4,5]

示例 2:

输入:root = []
输出:[]

示例 3:

输入:root = [1]
输出:[1]

示例 4:

输入:root = [1,2]
输出:[1,2]

提示:

  • 树中结点数在范围 [0, 104] 内
  • -1000 <= Node.val <= 1000

Solution

Language: JavaScript

/**
 * Definition for a binary tree node.
 * function TreeNode(val) {
 *     this.val = val;
 *     this.left = this.right = null;
 * }
 */

/**
 * Encodes a tree to a single string.
 *
 * @param {TreeNode} root
 * @return {string}
 */
var serialize = function(root) {
    if (root == null) {                  // 遍历到 null 节点
        return 'X';
    }
    const left = serialize(root.left);   // 左子树的序列化结果
    const right = serialize(root.right); // 右子树的序列化结果
    return root.val + ',' + left + ','+ right; // 按  根,左,右  拼接字符串
};

/**
 * Decodes your encoded data to tree.
 *
 * @param {string} data
 * @return {TreeNode}
 */
var deserialize = function(data) {
    const list = data.split(',');

    const buildTree = (list) => {
        const rootVal = list.shift();
        if (rootVal === 'X') {
            return null
        }
        const root = new TreeNode(rootVal);
        root.left = buildTree(list);
        root.right = buildTree(list);
        return root;
    }
    return buildTree(list);
};

/**
 * Your functions will be called as such:
 * deserialize(serialize(root));
 */

Metadata

Metadata

Assignees

No one assigned

    Labels

    No labels
    No labels

    Projects

    No projects

    Milestone

    No milestone

    Relationships

    None yet

    Development

    No branches or pull requests

    Issue actions