Skip to content

92. 反转链表 II #28

@webVueBlog

Description

@webVueBlog

92. 反转链表 II

Description

Difficulty: 中等

Related Topics: 链表

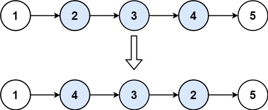
给你单链表的头指针 head 和两个整数 leftright ,其中 left <= right 。请你反转从位置 left 到位置 right 的链表节点,返回 反转后的链表

示例 1:

输入:head = [1,2,3,4,5], left = 2, right = 4
输出:[1,4,3,2,5]

示例 2:

输入:head = [5], left = 1, right = 1
输出:[5]

提示:

  • 链表中节点数目为 n
  • 1 <= n <= 500
  • -500 <= Node.val <= 500
  • 1 <= left <= right <= n

进阶: 你可以使用一趟扫描完成反转吗?

Solution

Language: JavaScript

/**
 * Definition for singly-linked list.
 * function ListNode(val, next) {
 *     this.val = (val===undefined ? 0 : val)
 *     this.next = (next===undefined ? null : next)
 * }
 */
/**
 * @param {ListNode} head
 * @param {number} left
 * @param {number} right
 * @return {ListNode}
 */
var reverseBetween = function(head, left, right) {
    const dummyNode = new ListNode(-1)
    dummyNode.next = head // 虚拟节点
    let pre = dummyNode
    for (let i = 0; i < left - 1; i++) {
        // pre 遍历到left前一个节点
        pre = pre.next
    }

    let rightNode = pre
    for (let i = 0; i < right - left + 1; i++) {
        // rightNode 遍历到right的位置
        rightNode = rightNode.next
    }

    let leftNode = pre.next // 保存leftNode
    let curr = rightNode.next // 保存rightNode.next

    // 切断left到right的子链
    pre.next = null
    rightNode.next = null

    // 反转left到right的子链
    reverseLinkedList(leftNode)

    // 反转 连接
    pre.next = rightNode
    leftNode.next = curr
    return dummyNode.next
};

const reverseLinkedList = (head) => {
    let pre = null
    let cur = head

    while (cur) {
        const next = cur.next
        cur.next = pre
        pre = cur
        cur = next
    }
}

Metadata

Metadata

Assignees

No one assigned

    Labels

    No labels
    No labels

    Projects

    No projects

    Milestone

    No milestone

    Relationships

    None yet

    Development

    No branches or pull requests

    Issue actions