Skip to content
/ iCellR Public

Single (i) Cell R package (iCellR) is an interactive R package to work with high-throughput single cell sequencing technologies (i.e scRNA-seq, scVDJ-seq, scATAC-seq, CITE-Seq and Spatial Transcriptomics (ST)).

Notifications You must be signed in to change notification settings

rezakj/iCellR

Folders and files

NameName
Last commit message
Last commit date

Latest commit

 

History

84 Commits
 
 
 
 
 
 
 
 
 
 
 
 
 
 
 
 
 
 
 
 

Repository files navigation

CRAN Version CRAN Downloads CRAN Downloads License: GPL v2

iCellR

iCellR is an interactive R package to work with high-throughput single cell sequencing technologies (i.e scRNA-seq, scVDJ-seq, scATAC-seq, CITE-Seq and Spatial Transcriptomics (ST)).

Maintainer: Alireza Khodadadi-Jamayran

News (April 2021): Use iCellR version 1.6.4 for scATAC-seq and Spatial Transcriptomics (ST). Use the i.score function for scoring (scoring cells based on gene signatures) methods (i.e. tirosh, mean, sum, gsva, ssgsea, zscore and plage).

News (July 2020): See iCellR version 1.5.5 with new cell cycle analysis for G0, G1S, G2M, M, G1M and S phase, Pseudotime Abstract KNetL map (PAK map) and gene-gene correlations. See below for how to.

News (May 2020): see our dimensionality reduction called KNetL map drawing (pronounced like "nettle"). KNetL map is capable of zooming and shows a lot more details compared to tSNE and UMAP.

News (April 2020): see our imputation/coverage correction (CC) and batch alignment (CCCA and CPCA) methods. More databases added for cell type prediction (ImmGen and MCA).

  • Tutorial: example 1 code and results (based on KNetL map drawing)
  • Tutorial: example 2 code and results (based on CPCA batch alignment and KNetL map drawing)
  • Link to a video tutorial for CITE-Seq and scRNA-Seq analysis: Video
  • All you need to know about KNetL map: Video
  • Link to manual Manual and Comprehensive R Archive Network (CRAN).

iCellR Viewer (web GUI app): https://compbio.nyumc.org/icellr/

If you are using FlowJo or SeqGeq, they have made plugins for iCellR and other single cell tools: https://www.flowjo.com/exchange/#/ (list of all plugins) and https://www.flowjo.com/exchange/#/plugin/profile?id=34 (iCellR plugin). SeqGeq DE tutorial

For citing iCellR use this PMID: 34353854

iCellR publications: PMID: 35660135 (scRNA-seq/KNetL) PMID: 35180378 (CITE-seq/KNetL), PMID: 34911733 (i.score and cell ranking), PMID: 34963055 (scRNA-seq), PMID 31744829 (scRNA-seq), PMID: 31934613 (bulk RNA-seq from TCGA), PMID: 32550269 (scVDJ-seq), PMID: 34135081, PMID: 33593073, PMID: 34634466, PMID: 35302059, PMID: 34353854

Single (i) Cell R package (iCellR)


How to install iCellR

# Install from CRAN 
install.packages("iCellR")

# Install from github
#library(devtools)
#install_github("rezakj/iCellR")

# or
#git clone https://github.com/rezakj/iCellR.git
#R
#install.packages('iCellR/', repos = NULL, type="source")

Download a sample data

  • Download and unzip a publicly available sample PBMC scRNA-Seq data.
# set your working directory 
setwd("/your/download/directory")

# save the URL as an object
sample.file.url = "https://cf.10xgenomics.com/samples/cell/pbmc3k/pbmc3k_filtered_gene_bc_matrices.tar.gz"

# download the file
download.file(url = sample.file.url, 
     destfile = "pbmc3k_filtered_gene_bc_matrices.tar.gz", 
     method = "auto")  

# unzip the file. 
untar("pbmc3k_filtered_gene_bc_matrices.tar.gz")

more data available here: https://genome.med.nyu.edu/results/external/iCellR/


How to use iCellR for analyzing scRNA-seq data

To run a test sample follow these steps:

  • Go to the R environment load the iCellR package and the PBMC sample data that you downloaded.
library("iCellR")
my.data <- load10x("filtered_gene_bc_matrices/hg19/")

# This directory includes; barcodes.tsv, genes.tsv/features.tsv and matrix.mtx files
# Data could be zipped or unzipped.

# if your data is in a csv or tsv format read it like this example
# my.data <- read.delim("CITE-Seq_sample_RNA.tsv.gz",header=TRUE)

# if your data is in a h5 format read it like this example
# library(hdf5r)
# data <- load.h5("filtered_feature_bc_matrix.h5")

To see the help page for each function use question mark as:

?load10x
  • Aggregate data

Conditions in iCellR are set or shown in the column names of the data and are separated by an underscore "_" sign. Let's say you want to merge multiple datasets (data frames/matrices) into one file and run iCellR in aggregate mode (all samples together). You can do so using "data.aggregation" function. Here’s an example: I divided this sample into four datasets and then aggregated them into one matrix. Here we are assuming you have four samples (e.g. WT,KO,Ctrl,KD). In this way, iCellR will know you have 4 samples for the rest of the analysis (e.g. batch alignment, plots, DE, etc.).

dim(my.data)
# [1] 32738  2700

# divide your sample into three samples for this example 

sample1 <- my.data[1:900]
sample2 <- my.data[901:1800]
sample3 <- my.data[1801:2300]
sample4 <- my.data[2301:2700]
   
   
# merge all of your samples to make a single aggregated file.  

my.data <- data.aggregation(samples = c("sample1","sample2","sample3","sample4"),
	condition.names = c("WT","KO","Ctrl","KD"))
  • Check the head of your file.
# here is how the head of the first 2 cells in the aggregated file looks like.	
head(my.data)[1:2]
#         WT_AAACATACAACCAC-1 WT_AAACATTGAGCTAC-1
#A1BG                       0                   0
#A1BG.AS1                   0                   0
#A1CF                       0                   0
#A2M                        0                   0
#A2M.AS1                    0                   0

# as you see the header has the conditions now
  • Make an object of class iCellR.
my.obj <- make.obj(my.data)
my.obj
###################################
,--. ,-----.       ,--.,--.,------.
`--''  .--./ ,---. |  ||  ||  .--. '
,--.|  |    | .-. :|  ||  ||  '--'.'
|  |'  '--'\   --. |  ||  ||  |
`--' `-----' `----'`--'`--'`--' '--'
###################################
An object of class iCellR version: 1.6.0
Raw/original data dimentions (rows,columns): 32738,2700
Data conditions in raw data: Ctrl,KD,KO,WT (500,400,900,900)
Row names: A1BG,A1BG.AS1,A1CF ...
Columns names: WT_AAACATACAACCAC.1,WT_AAACATTGAGCTAC.1,WT_AAACATTGATCAGC.1 ...
###################################
   QC stats performed:FALSE, PCA performed:FALSE
   Clustering performed:FALSE, Number of clusters:0
   tSNE performed:FALSE, UMAP performed:FALSE, DiffMap performed:FALSE
   Main data dimensions (rows,columns): 0,0
   Normalization factors:,...
   Imputed data dimensions (rows,columns):0,0
############## scVDJ-seq ###########
VDJ data dimentions (rows,columns):0,0
############## CITE-seq ############
   ADT raw data  dimensions (rows,columns):0,0
   ADT main data  dimensions (rows,columns):0,0
   ADT columns names:...
   ADT row names:...
############## scATAC-seq ############
   ATAC raw data  dimensions (rows,columns):0,0
   ATAC main data  dimensions (rows,columns):0,0
   ATAC columns names:...
   ATAC row names:...
############## Spatial ###########
Spatial data dimentions (rows,columns):0,0
########### iCellR object ##########
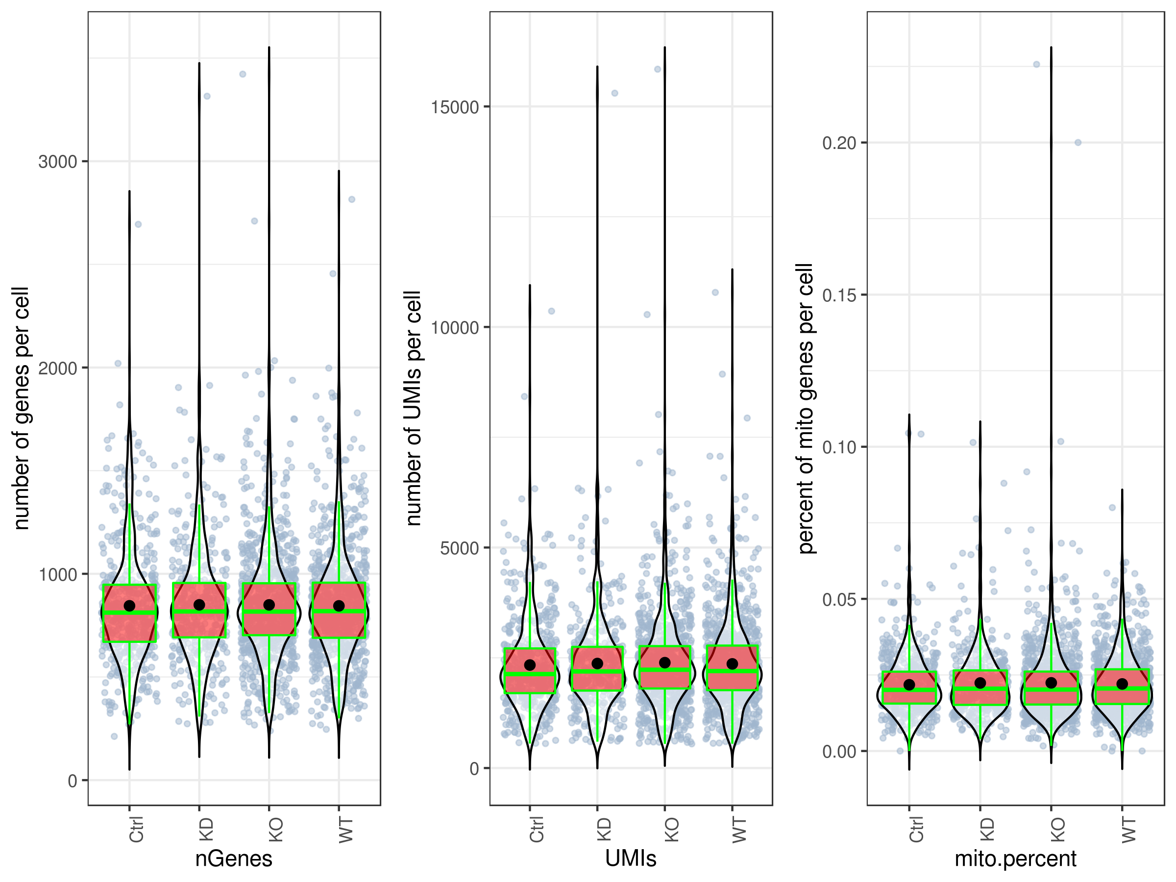
  • Perform some QC
my.obj <- qc.stats(my.obj)
  • Plot QC

By default all the plotting functions would create interactive html files unless you set this parameter: interactive = FALSE.

# plot UMIs, genes and percent mito all at once and in one plot. 
# you can make them individually as well, see the arguments ?stats.plot.
stats.plot(my.obj,
	plot.type = "three.in.one",
	out.name = "UMI-plot",
	interactive = FALSE,
	cell.color = "slategray3", 
	cell.size = 1, 
	cell.transparency = 0.5,
	box.color = "red",
	box.line.col = "green")

# Scatter plots
stats.plot(my.obj, plot.type = "point.mito.umi", out.name = "mito-umi-plot")
stats.plot(my.obj, plot.type = "point.gene.umi", out.name = "gene-umi-plot")

  • Filter cells.

iCellR allows you to filter based on library sizes (UMIs), number of genes per cell, percent mitochondrial content, one or more genes, and cell ids.

my.obj <- cell.filter(my.obj,
	min.mito = 0,
	max.mito = 0.05,
	min.genes = 200,
	max.genes = 2400,
	min.umis = 0,
	max.umis = Inf)
	
#[1] "cells with min mito ratio of 0 and max mito ratio of 0.05 were filtered."
#[1] "cells with min genes of 200 and max genes of 2400 were filtered."
#[1] "No UMI number filter"
#[1] "No cell filter by provided gene/genes"
#[1] "No cell id filter"
#[1] "filters_set.txt file has beed generated and includes the filters set for this experiment."	

# more examples 
# my.obj <- cell.filter(my.obj, filter.by.gene = c("RPL13","RPL10")) # filter our cell having no counts for these genes
# my.obj <- cell.filter(my.obj, filter.by.cell.id = c("WT_AAACATACAACCAC.1")) # filter our cell cell by their cell ids.

# chack to see how many cells are left.  
dim(my.obj@main.data)
#[1] 32738  2637
  • Down sampling

This step is optional and is for having the same number of cells for each condition.

# optional
# my.obj <- down.sample(my.obj)
#[1] "From"
#[1] "Data conditions: Ctrl,KO,WT (877,877,883)"
#[1] "to"
#[1] "Data conditions: Ctrl,KO,WT (877,877,877)"
  • Normalize data

You have a few options to normalize your data based on your study. You can also normalize your data using tools other than iCellR and import your data to iCellR. We recommend "ranked.glsf" normalization for most single cell studies. This normalization is great for fixing matrixes with lots of zeros and because it's geometric it will reduce some of batch differences in the library sizes, as long as all the data is aggregated into one file (to aggregate your data see "aggregating data" section above). GLSF stands for Geometric Library Size Factor, this is very similar to the normalization done by DESeq2 and the ranked part would take the sum of the top most expressed genes as your library size instead of the full LB size which is to help resduce some of the drop out effects on normalization.

my.obj <- norm.data(my.obj, 
     norm.method = "ranked.glsf",
     top.rank = 500) # best for scRNA-Seq

# more examples
#my.obj <- norm.data(my.obj, norm.method = "ranked.deseq", top.rank = 500)
#my.obj <- norm.data(my.obj, norm.method = "deseq") # best for bulk RNA-Seq 
#my.obj <- norm.data(my.obj, norm.method = "global.glsf") # best for bulk RNA-Seq 
#my.obj <- norm.data(my.obj, norm.method = "rpm", rpm.factor = 100000) # best for bulk RNA-Seq
#my.obj <- norm.data(my.obj, norm.method = "spike.in", spike.in.factors = NULL)
#my.obj <- norm.data(my.obj, norm.method = "no.norm") # if the data is already normalized
  • Perform second QC (optioal)
#my.obj <- qc.stats(my.obj,which.data = "main.data")

#stats.plot(my.obj,
#	plot.type = "all.in.one",
#	out.name = "UMI-plot",
#	interactive = F,
#	cell.color = "slategray3", 
#	cell.size = 1, 
#	cell.transparency = 0.5,
#	box.color = "red",
#	box.line.col = "green",
#	back.col = "white")
  • Scale data (optional)

iCellR does not need this step as it scales the data when they need to be scaled on the fly; like for plotting or running PCA. This is because, it is important to use the untransformed data for differential expression analysis to calculate the accurate/true fold changes. If you run this function the scaled data will "not" replace the main data and instead will be saved in different data slot in the object.

# my.obj <- data.scale(my.obj)
  • Gene stats
my.obj <- gene.stats(my.obj, which.data = "main.data")

head(my.obj@gene.data[order(my.obj@gene.data$numberOfCells, decreasing = T),])
#       genes numberOfCells totalNumberOfCells percentOfCells  meanExp
#30303 TMSB4X          2637               2637      100.00000 38.55948
#3633     B2M          2636               2637       99.96208 45.07327
#14403 MALAT1          2636               2637       99.96208 70.95452
#27191 RPL13A          2635               2637       99.92416 32.29009
#27185  RPL10          2632               2637       99.81039 35.43002
#27190  RPL13          2630               2637       99.73455 32.32106
#               SDs condition
#30303 7.545968e-15       all
#3633  2.893940e+01       all
#14403 7.996407e+01       all
#27191 2.783799e+01       all
#27185 2.599067e+01       all
#27190 2.661361e+01       all
  • Make a gene model for clustering

This function will help you find a good number of genes to use for running PCA.

# See model plot 
make.gene.model(my.obj, my.out.put = "plot",
	dispersion.limit = 1.5, 
	base.mean.rank = 1500, 
	no.mito.model = T, 
	mark.mito = T, 
	interactive = F,
	out.name = "gene.model")
	
# Write the gene model data into the object

my.obj <- make.gene.model(my.obj, my.out.put = "data",
	dispersion.limit = 1.5, 
	base.mean.rank = 1500, 
	no.mito.model = T, 
	mark.mito = T, 
	interactive = F,
	out.name = "gene.model")

head(my.obj@gene.model)
# "ACTB"  "ACTG1" "ACTR3" "AES"   "AIF1"  "ALDOA"

# get html plot (optional)
#make.gene.model(my.obj, my.out.put = "plot",
#	dispersion.limit = 1.5, 
#	base.mean.rank = 1500, 
#	no.mito.model = T, 
#	mark.mito = T, 
#	interactive = T,
#	out.name = "plot4_gene.model")

To view an the html interactive plot click on this links: Dispersion plot

  • Perform Principal component analysis (PCA)

Note: skip this step if you plan to do batch correction. For batch correction (sample alignment/harmonization/integration) see the sections; CPCA, CCCA, MNN or anchor alignment.

# If you run PCA (run.pca) there would be no batch alignment but if you run CPCA (using iba function) this would perform batch alignment and PCA after batch alignment. Example for batch alignment using iba function: 
# my.obj <- iba(my.obj,dims = 1:30, k = 10,ba.method = "CPCA", method = "gene.model", gene.list = [email protected])

# run PCA in case no batch alignment is necessary
my.obj <- run.pca(my.obj, method = "gene.model", gene.list = my.obj@gene.model,data.type = "main")

opt.pcs.plot(my.obj)

# 2 round PCA (optional)
# This is to find top genes in the first 10 PCs and re-run PCA for better clustering. 
## This is optional and might not be good in some cases

#length([email protected])
# 683
#my.obj <- find.dim.genes(my.obj, dims = 1:10,top.pos = 20, top.neg = 20) # (optional)

#length([email protected])
# 211

# second round PC
#my.obj <- run.pca(my.obj, method = "gene.model", gene.list = [email protected],data.type = "main")

  • Perform other dimensionality reductions (tSNE, UMAP, KNetL, PHATE, destiny, diffusion maps)

We recommend tSNE, UMAP and KNetL. KNetL is fundamentally more powerful.

# tSNE
my.obj <- run.pc.tsne(my.obj, dims = 1:10)

# UMAP
my.obj <- run.umap(my.obj, dims = 1:10)

# KNetL (for lager than 5000 cell use a zoom of about 400) 
# Because knetl has a very high resolution it's best to use a dim of 20 (this usually works best for most data)
my.obj <- run.knetl(my.obj, dims = 1:20, zoom = 110) # (Important note!) don't forget to set the zoom in the right range  

########################## IMPORTANT DISCLAIMER NOTE ###########################
            *** KNetL map is very dynamic with zoom and dims! ***
                 *** Therefore it needs to be adjusted! ***
# For data with less than 1000 cells use a zoom of about 5-50.
# For data with 1000-5000 cells use a zoom of about 50-200.
# For data with 5000-10000 cells use a zoom of about 100-300.
# For data with 10000-30000 cells use a zoom of about 200-500.
# For data with more than 30000 cells use a zoom of about 400-600.
# zoom 400 is usually good for big data but adjust for intended resolution.
# Lower number for zoom in and higher for zoom out (its reverse).
# dims = 1:20 is generally good for most data.
# other parameters are best as default.

#### Just like a microscope, you need to zoom to see the intended amount of details. 
#### Here we use a zoom of 100 or 110 but this might not be ideal for your data.
#### example: # my.obj <- run.knetl(my.obj, dims = 1:20, zoom = 400)
#### Because knetl has a very high resolution it's best to use a dim of 20 (this usually works best for most data)
###################################################################################
###################################################################################
###################################################################################
###################################################################################

# diffusion map
# this requires python packge phate or bioconductor R package destiny
# How to install destiny
# if (!requireNamespace("BiocManager", quietly = TRUE))
#    install.packages("BiocManager")
# BiocManager::install("destiny")
# How to install phate
# pip install --user phate
# Install phateR version 2.9
# wget https://cran.r-project.org/src/contrib/Archive/phateR/phateR_0.2.9.tar.gz
# install.packages('phateR/', repos = NULL, type="source")
# or 
# library(devtools)
# install_version("phateR", version = "0.2.9", repos = "http://cran.us.r-project.org")


# optional 
# library(destiny)
# my.obj <- run.diffusion.map(my.obj, dims = 1:10)
# or 
# library(phateR)
# my.obj <- run.diffusion.map(my.obj, dims = 1:10, method = "phate")
  • Visualizing the results of dimensionality reductions before clustering (optional)
A= cluster.plot(my.obj,plot.type = "pca",interactive = F)
B= cluster.plot(my.obj,plot.type = "umap",interactive = F)
C= cluster.plot(my.obj,plot.type = "tsne",interactive = F)
D= cluster.plot(my.obj,plot.type = "knetl",interactive = F)

library(gridExtra)
grid.arrange(A,B,C,D)

Clustering

We provide three functions to run the clustering method of your choice:

1- iclust (** recommended):

Faster and optimized for iCellR. This function takes PCA, UMAP or tSNE, Destiny (diffusion map), PHATE or KNetL map as input. This function is using Louvain algorithm for clustering a graph made using KNN. Similar to PhenoGraph (Levine et al., Cell, 2015) however instead of Jaccard similarity values we use distance (euclidean by default) values for the weights.

2- run.phenograph:

R implementation of the PhenoGraph algorithm. Rphenograph wrapper (Levine et al., Cell, 2015).

3- run.clustering:

In this function we provide a variety of many other options for you to explore the data with different flavours of clustering and indexing methods. Choose any combinations from the table below.

clustering methods distance methods indexing methods
ward.D, ward.D2, single, complete, average, mcquitty, median, centroid, kmeans euclidean, maximum, manhattan, canberra, binary, minkowski or NULL kl, ch, hartigan, ccc, scott, marriot, trcovw, tracew, friedman, rubin, cindex, db, silhouette, duda, pseudot2, beale, ratkowsky, ball, ptbiserial, gap, frey, mcclain, gamma, gplus, tau, dunn, hubert, sdindex, dindex, sdbw

Conventionally people cluster based on PCA data (usually first 10 dimensions) however you have the option of choosing tSNE, UMAP and KNetL map dimensions as well. If you have adjusted your KNetL map and are confident about the results we recommend clustering based on KNetL map.

This is one of the harder parts of the analysis and sometimes you need to adjust your clustering based on marker genes. This means you might need to merge some clusters, gate (see our cell gating tools) or try different sensitivities to find more or less communities.

# clustering based on KNetL

my.obj <- iclust(my.obj, sensitivity = 150, data.type = "knetl") 

# clustering based on PCA

# my.obj <- iclust(my.obj, sensitivity = 150, data.type = "pca", dims=1:10) 

# play with k to get the clusters right. Usually 150 is good.

###### more examples 

# clustering based on PCA

# my.obj <- iclust(my.obj,
#    dist.method = "euclidean",
#    sensitivity = 100,
#    dims = 1:10,
#    data.type = "pca")

# or
# run.phenograph
# my.obj <- run.phenograph(my.obj,k = 100,dims = 1:10)

# or 
# run.clustering
# my.obj <- run.clustering(my.obj, 
#	clust.method = "kmeans", 
#	dist.method = "euclidean",
#	index.method = "silhouette",
#	max.clust = 25,
#	min.clust = 2,
#	dims = 1:10)

# If you want to manually set the number of clusters, and not used the predicted optimal number, set the minimum and maximum to the number you want:
#my.obj <- run.clustering(my.obj, 
#	clust.method = "ward.D",
#	dist.method = "euclidean",
#	index.method = "ccc",
#	max.clust = 8,
#	min.clust = 8,
#	dims = 1:10)

# more examples 

#my.obj <- run.clustering(my.obj, 
#	clust.method = "ward.D", 
#	dist.method = "euclidean",
#	index.method = "kl",
#	max.clust = 25,
#	min.clust = 2,
#	dims = 1:10)
  • Visualize data clustering results
# plot clusters (in the figures below clustering is done based on KNetL) 
# example: # my.obj <- iclust(my.obj, k = 150, data.type = "knetl") 

A <- cluster.plot(my.obj,plot.type = "pca",interactive = F,cell.size = 0.5,cell.transparency = 1, anno.clust=T)
B <- cluster.plot(my.obj,plot.type = "umap",interactive = F,cell.size = 0.5,cell.transparency = 1,anno.clust=T)
C <- cluster.plot(my.obj,plot.type = "tsne",interactive = F,cell.size = 0.5,cell.transparency = 1,anno.clust=T)
D <- cluster.plot(my.obj,plot.type = "knetl",interactive = F,cell.size = 0.5,cell.transparency = 1,anno.clust=T)

library(gridExtra)
grid.arrange(A,B,C,D)

  • Re-numbering clusters based on their distances, this is so that the are more in consecutive order (optional)

This is visually helpful to look at your heatmap after finding marker genes and can help you decide which clusters need to be merged and adjusted.

my.obj <- clust.ord(my.obj,top.rank = 500, how.to.order = "distance")
#my.obj <- clust.ord(my.obj,top.rank = 500, how.to.order = "random")


A= cluster.plot(my.obj,plot.type = "pca",interactive = F,cell.size = 0.5,cell.transparency = 1, anno.clust=T)
B= cluster.plot(my.obj,plot.type = "umap",interactive = F,cell.size = 0.5,cell.transparency = 1,anno.clust=T)
C= cluster.plot(my.obj,plot.type = "tsne",interactive = F,cell.size = 0.5,cell.transparency = 1,anno.clust=T)
D= cluster.plot(my.obj,plot.type = "knetl",interactive = F,cell.size = 0.5,cell.transparency = 1,anno.clust=T)

library(gridExtra)
grid.arrange(A,B,C,D)

  • Look at conditions
# conditions 
A <- cluster.plot(my.obj,plot.type = "pca",col.by = "conditions",interactive = F,cell.size = 0.5)
B <- cluster.plot(my.obj,plot.type = "umap",col.by = "conditions",interactive = F,cell.size = 0.5)
C <- cluster.plot(my.obj,plot.type = "tsne",col.by = "conditions",interactive = F,cell.size = 0.5)
D <- cluster.plot(my.obj,plot.type = "knetl",col.by = "conditions",interactive = F,cell.size = 0.5)

library(gridExtra)
grid.arrange(A,B,C,D)

### or 


png('AllConds_clusts_knetl.png', width = 16, height = 8, units = 'in', res = 300)
cluster.plot(my.obj,
              cell.size = 0.1,
              plot.type = "knetl",
              cell.color = "black",
              back.col = "white",
              cell.transparency = 1,
              clust.dim = 2,
              interactive = F,cond.facet = T)
dev.off()

  • Pseudotime Abstract KNetL map (PAK map)

This is very helpful to see the distances or similarities between different communities. The shorter and thicker the lines/links (rubber bands) are the more similar the communities. The nodes are the clusters and the edges or links are the distance between them.

pseudotime.knetl(my.obj,interactive = F,cluster.membership = F,conds.to.plot = NULL)

## with memberships 
pseudotime.knetl(my.obj,interactive = F,cluster.membership = T,conds.to.plot = NULL)


### intractive plot
pseudotime.knetl(my.obj,interactive = T)

  • Average expression per cluster
# for all cunditions
my.obj <- clust.avg.exp(my.obj, conds.to.avg = NULL)

# for one cundition
#my.obj <- clust.avg.exp(my.obj, conds.to.avg = "WT")

# for two cundition
#my.obj <- clust.avg.exp(my.obj, conds.to.avg = c("WT","KO"))

head(my.obj@clust.avg)
#      gene cluster_1   cluster_2   cluster_3   cluster_4   cluster_5
#1     A1BG         0 0.034248447 0.029590643 0.076486590 0.090270833
#2 A1BG.AS1         0 0.000000000 0.006274854 0.019724138 0.004700000
#3     A1CF         0 0.000000000 0.000000000 0.000000000 0.000000000
#4      A2M         0 0.006925466 0.003614035 0.000000000 0.000000000
#5  A2M.AS1         0 0.056155280 0.000000000 0.005344828 0.006795833
#6    A2ML1         0 0.000000000 0.000000000 0.000000000 0.000000000
#    cluster_6  cluster_7  cluster_8   cluster_9  cluster_10
#1 0.074360294 0.07623494 0.04522321 0.088735057 0.065292818
#2 0.000000000 0.00000000 0.01553869 0.013072698 0.013550645
#3 0.000000000 0.00000000 0.00000000 0.000000000 0.000000000
#4 0.000000000 0.00000000 0.00000000 0.001810985 0.003200737
#5 0.008191176 0.06227108 0.00000000 0.011621971 0.012837937
#6 0.000000000 0.00000000 0.00000000 0.000000000 0.000000000
  • Cell cycle prediction

Tirosh scoring method Tirosh, et. al. 2016 (default) or coverage is used to calculate G0, G1S, G2M, M, G1M and S phase score. The gene lists for G0, G1S, G2M, M, G1M and S phase are chosen from previously published article Xue, et.al 2020

NOTE: These genes work best for cancer cells. You can use a different gene set for each category (G0, G1S, G2M, M, G1M and S).

# old method 
# my.obj <- cc(my.obj, s.genes = s.phase, g2m.genes = g2m.phase)

# new method 

G0 <- readLines(system.file('extdata', 'G0.txt', package = 'iCellR'))
G1S <- readLines(system.file('extdata', 'G1S.txt', package = 'iCellR'))
G2M <- readLines(system.file('extdata', 'G2M.txt', package = 'iCellR'))
M <- readLines(system.file('extdata', 'M.txt', package = 'iCellR'))
MG1 <- readLines(system.file('extdata', 'MG1.txt', package = 'iCellR'))
S <- readLines(system.file('extdata', 'S.txt', package = 'iCellR'))

# Tirosh scoring method (recomanded)
my.obj <- cell.cycle(my.obj, scoring.List = c("G0","G1S","G2M","M","MG1","S"), scoring.method = "tirosh")

# Coverage scoring method (recomanded)
# my.obj <- cell.cycle(my.obj, scoring.List = c("G0","G1S","G2M","M","MG1","S"), scoring.method = "coverage")

# plot cell cycle

A= cluster.plot(my.obj,plot.type = "pca",interactive = F,cell.size = 0.5,cell.transparency = 1, anno.clust=T,col.by = "cc")
B= cluster.plot(my.obj,plot.type = "umap",interactive = F,cell.size = 0.5,cell.transparency = 1,anno.clust=T, col.by = "cc")
C= cluster.plot(my.obj,plot.type = "tsne",interactive = F,cell.size = 0.5,cell.transparency = 1,anno.clust=T, col.by = "cc")
D= cluster.plot(my.obj,plot.type = "knetl",interactive = F,cell.size = 0.5,cell.transparency = 1,anno.clust=T, col.by = "cc")

library(gridExtra)
grid.arrange(A,B,C,D)

## or 
cluster.plot(my.obj,
              cell.size = 0.5,
              plot.type = "knetl",
              col.by = "cc",
              cell.color = "black",
              back.col = "white",
              cell.transparency = 1,
              clust.dim = 2,
              interactive = F,cond.facet = T)

# Pie
clust.stats.plot(my.obj, plot.type = "pie.cc", interactive = F, conds.to.plot = NULL)
dev.off()

# bar
clust.stats.plot(my.obj, plot.type = "bar.cc", interactive = F, conds.to.plot = NULL)
dev.off()

# or per condition
# clust.stats.plot(my.obj, plot.type = "pie.cc", interactive = F, conds.to.plot = "WT")

  • Cell frequencies and proportions
clust.cond.info(my.obj, plot.type = "pie", normalize.ncell = TRUE, my.out.put = "plot", normalize.by = "percentage")

clust.cond.info(my.obj, plot.type = "bar", normalize.ncell = TRUE,my.out.put = "plot", normalize.by = "percentage")

clust.cond.info(my.obj, plot.type = "pie.cond", normalize.ncell = T, my.out.put = "plot", normalize.by = "percentage")

clust.cond.info(my.obj, plot.type = "bar.cond", normalize.ncell = T,my.out.put = "plot", normalize.by = "percentage")

my.obj <- clust.cond.info(my.obj)
head(my.obj@my.freq)
#  conditions  TC    SF clusters Freq Norm.Freq percentage
#1       Ctrl 491 1.265        1    4     3.162       0.81
#2       Ctrl 491 1.265       11   32    25.296       6.52
#3       Ctrl 491 1.265        8  114    90.119      23.22
#4       Ctrl 491 1.265        5   43    33.992       8.76
#5       Ctrl 491 1.265        2   33    26.087       6.72
#6       Ctrl 491 1.265        9   86    67.984      17.52

  • Cluster QC
clust.stats.plot(my.obj, plot.type = "box.mito", interactive = F)

clust.stats.plot(my.obj, plot.type = "box.gene", interactive = F)

  • Run data imputation
my.obj <- run.impute(my.obj, dims = 1:10, nn = 10, data.type = "pca")
  • Save your object
save(my.obj, file = "my.obj.Robj")
  • gene gene correlation
# impute more cells by increasing nn for better resulst. 
my.obj <- run.impute(my.obj,dims = 1:10,data.type = "pca", nn = 50)

# main data
A <- gg.cor(my.obj, 
	interactive = F, 
	gene1 = "GNLY",
	gene2 = "NKG7", 
	conds = NULL,
	clusts = NULL,
	data.type = "main")

# imputed data 
B <- gg.cor(my.obj, 
	interactive = F, 
	gene1 = "GNLY",
	gene2 = "NKG7", 
	conds = NULL,
	clusts = NULL,
	data.type = "imputed")

C <- gg.cor(my.obj, 
	interactive = F, 
	gene1 = "GNLY",
	gene2 = "NKG7", 
	conds = NULL,
	clusts = c(3,2),
	data.type = "imputed")


# imputed data 
D <- gg.cor(my.obj, 
	interactive = F, 
	gene1 = "GNLY",
	gene2 = "NKG7", 
	conds = c("WT"),
	clusts = NULL,
	data.type = "imputed")

grid.arrange(A,B,C,D)

  • Find marker genes
marker.genes <- findMarkers(my.obj,
	fold.change = 2,
	padjval = 0.1)

dim(marker.genes)
# [1] 1070   17

head(marker.genes)
#      baseMean    baseSD AvExpInCluster AvExpInOtherClusters   foldChange
#PPBP  0.8257760 12.144694       181.3945            0.1399852 1295.8120969
#GPX1  1.3989591  4.344717        57.4034            1.1862571   48.3903523
#CALM3 0.5469743  1.230942        10.7848            0.5080915   21.2260968
#OAZ1  4.9077851  5.979586        46.7867            4.7487311    9.8524635
#MYL6  3.0806167  3.562124        21.3690            3.0111584    7.0966045
#CD74  8.5523704 13.359205         2.6120            8.5749316    0.3046088
#      log2FoldChange         pval        padj clusters  gene cluster_1
#PPBP       10.339641 1.586683e-06 0.014786300        1  PPBP  181.3945
#GPX1        5.596648 1.107541e-07 0.001103775        1  GPX1   57.4034
#CALM3       4.407767 2.098341e-06 0.019415953        1 CALM3   10.7848
#OAZ1        3.300485 7.857814e-07 0.007464137        1  OAZ1   46.7867
#MYL6        2.827129 1.296112e-06 0.012156230        1  MYL6   21.3690
#CD74       -1.714970 9.505749e-06 0.083983296        1  CD74    2.6120
#      cluster_2  cluster_3  cluster_4  cluster_5  cluster_6 cluster_7
#PPBP  0.0000000  0.1444327  0.2282912  0.0640625 0.01739706 0.1541084
#GPX1  0.2424969  1.2218772  3.9292720  4.4329583 0.25663235 0.2712831
#CALM3 0.6537205  0.8149415  0.6071034  0.5245625 0.44687500 0.5081867
#OAZ1  3.2077826 12.2072339  8.6080077 10.8738208 2.71288971 3.6402289
#MYL6  4.9660870  5.7945673  4.2813218  4.3046458 2.42854412 3.9030542
#CD74  2.9385839  8.9848538 15.7646245  5.9454250 2.19555882 3.8323072
#        cluster_8 cluster_9 cluster_10
#PPBP   0.02478274 0.3668433 0.01026335
#GPX1   0.61210714 0.4635153 0.39311786
#CALM3  0.22591369 0.5210339 0.48856538
#OAZ1   3.67225595 2.3590420 2.53362063
#MYL6   1.72344048 1.6460420 2.59901289
#CD74  36.10877976 1.5638853 1.82587477

# baseMean: average expression in all the cells
# baseSD: Standard Deviation
# AvExpInCluster: average expression in cluster number (see clusters)
# AvExpInOtherClusters: average expression in all the other clusters
# foldChange: AvExpInCluster/AvExpInOtherClusters
# log2FoldChange: log2(AvExpInCluster/AvExpInOtherClusters)
# pval: P value 
# padj: Adjusted P value 
# clusters: marker for cluster number
# gene: marker gene for the cluster
# the rest are the average expression for each cluster
  • Heatmap
# find top genes
MyGenes <- top.markers(marker.genes, topde = 10, min.base.mean = 0.2,filt.ambig = F)
MyGenes <- unique(MyGenes)

# main data 
heatmap.gg.plot(my.obj, gene = MyGenes, interactive = F, cluster.by = "clusters", conds.to.plot = NULL)

# imputed data 
heatmap.gg.plot(my.obj, gene = MyGenes, interactive = F, cluster.by = "clusters", data.type = "imputed", conds.to.plot = NULL)

# sort cells and plot only one condition
heatmap.gg.plot(my.obj, gene = MyGenes, interactive = F, cluster.by = "clusters", data.type = "imputed", cell.sort = TRUE, conds.to.plot = c("WT"))

# Pseudotime stile
heatmap.gg.plot(my.obj, gene = MyGenes, interactive = F, cluster.by = "none", data.type = "imputed", cell.sort = TRUE)

# intractive 
# heatmap.gg.plot(my.obj, gene = MyGenes, interactive = T, out.name = "heatmap_gg", cluster.by = "clusters")

  • Bubble heatmap
png('heatmap_bubble_gg_genes.png', width = 10, height = 20, units = 'in', res = 300)
bubble.gg.plot(my.obj, gene = MyGenes, interactive = F, conds.to.plot = NULL, size = "Percent.Expressed",colour = "Expression")
dev.off()

  • Plot genes
A <- gene.plot(my.obj, gene = "MS4A1", 
	plot.type = "scatterplot",
	interactive = F,
	out.name = "scatter_plot")
# PCA 2D	
B <- gene.plot(my.obj, gene = "MS4A1", 
	plot.type = "scatterplot",
	interactive = F,
	out.name = "scatter_plot",
	plot.data.type = "umap")
	
# Box Plot
C <- gene.plot(my.obj, gene = "MS4A1", 
	box.to.test = 0, 
	box.pval = "sig.signs",
	col.by = "clusters",
	plot.type = "boxplot",
	interactive = F,
	out.name = "box_plot")
	
# Bar plot (to visualize fold changes)	
D <- gene.plot(my.obj, gene = "MS4A1", 
	col.by = "clusters",
	plot.type = "barplot",
	interactive = F,
	out.name = "bar_plot")
	
library(gridExtra)
png('gene.plots.png', width = 8, height = 8, units = 'in', res = 300)
grid.arrange(A,B,C,D)	
dev.off()

### same on imputed data 

A <- gene.plot(my.obj, gene = "MS4A1", 
	plot.type = "scatterplot",
	interactive = F,
	data.type = "imputed",
	out.name = "scatter_plot")
# PCA 2D	
B <- gene.plot(my.obj, gene = "MS4A1", 
	plot.type = "scatterplot",
	interactive = F,
	out.name = "scatter_plot",
	data.type = "imputed",
	plot.data.type = "umap")
	
# Box Plot
C <- gene.plot(my.obj, gene = "MS4A1", 
	box.to.test = 0, 
	box.pval = "sig.signs",
	col.by = "clusters",
	plot.type = "boxplot",
	interactive = F,
	data.type = "imputed",
	out.name = "box_plot")
	
# Bar plot (to visualize fold changes)	
D <- gene.plot(my.obj, gene = "MS4A1", 
	col.by = "clusters",
	plot.type = "barplot",
	interactive = F,
	data.type = "imputed",
	out.name = "bar_plot")
	
library(gridExtra)
png('gene.plots_imputed.png', width = 8, height = 8, units = 'in', res = 300)
grid.arrange(A,B,C,D)	
dev.off()

  • Multiple plots

Change the section in between #### signs for different plots (e.g. boxplot, bar, ...).

genelist = c("MS4A1","GNLY","FCGR3A","NKG7","CD14","CD3E","CD8A","CD4","GZMH","CCR7","CD68")

rm(list = ls(pattern="PL_"))
for(i in genelist){
####
    MyPlot <- gene.plot(my.obj, gene = i,
        interactive = F,
        cell.size = 0.1,
        plot.data.type = "knetl",
        data.type = "main",
        scaleValue = T,
        min.scale = 0,max.scale = 2.0,
        cell.transparency = 1)
####
    NameCol=paste("PL",i,sep="_")
    eval(call("<-", as.name(NameCol), MyPlot))
}

library(cowplot)
filenames <- ls(pattern="PL_")

B <- cluster.plot(my.obj,plot.type = "knetl",interactive = F,cell.size = 0.1,cell.transparency = 1,anno.clust=T)
filenames <- c("B",filenames)

png('genes_KNetL.png',width = 15, height = 12, units = 'in', res = 300)
plot_grid(plotlist=mget(filenames))
dev.off()

# or heatmap 
# heatmap.gg.plot(my.obj, gene = genelist, interactive = F, cluster.by = "clusters")

  • Make your own customized plots
# You can export the data using this command (one or multiple genes):

gene.plot(my.obj, gene = "MS4A1", write.data = T, scaleValue = F, data.type = "main")

# This would create a text file called "MS4A1.tsv".
 head(read.table("MS4A1.tsv"))
#                            V1         V2 Expression Clusters Conditions
#WT_AAACATACAACCAC.1  12.499481 -11.436633   0.000000        9         WT
#WT_AAACATTGAGCTAC.1  -8.783793  24.417999   1.942233        8         WT
#WT_AAACATTGATCAGC.1  -2.650761  10.932273   0.000000       10         WT
#WT_AAACCGTGCTTCCG.1 -28.916702  -5.542731   0.000000        4         WT
#WT_AAACCGTGTATGCG.1  21.211557 -31.626822   0.000000        2         WT
#WT_AAACGCACTGGTAC.1   5.225419  -5.141192   0.000000       10         WT

# you use this to make your own plots in ggplot2 or other visualization packages. 
  • Annotating clusters
###### Labeling the clusters 
#CD3E: only in T Cells
#FCGR3A (CD16): in CD16+ monocytes and some expression NK cells
#GNLY: NK cells
#MS4A1: B cells
#GZMH: in GZMH+ T8 cells and some expression NK cells
#CD8A: in T8 cells
#CD4: in T4 and some myeloid cells
#CCR7: expressed more in memory cells 
#CD14: in CD14+ monocytes
#CD68: in monocytes/MF

my.obj <- change.clust(my.obj, change.clust = 1, to.clust = "001.MG")
my.obj <- change.clust(my.obj, change.clust = 2, to.clust = "002.NK")
my.obj <- change.clust(my.obj, change.clust = 3, to.clust = "003.CD16+.Mono")
my.obj <- change.clust(my.obj, change.clust = 4, to.clust = "004.MF")
my.obj <- change.clust(my.obj, change.clust = 5, to.clust = "005.CD14+.Mono")
my.obj <- change.clust(my.obj, change.clust = 6, to.clust = "006.Naive.T8")
my.obj <- change.clust(my.obj, change.clust = 7, to.clust = "007.GZMH+.T8")
my.obj <- change.clust(my.obj, change.clust = 8, to.clust = "008.B")
my.obj <- change.clust(my.obj, change.clust = 9, to.clust = "009.Memory.T4")
my.obj <- change.clust(my.obj, change.clust = 10, to.clust = "010.Naive.T4")

A= cluster.plot(my.obj,plot.type = "pca",interactive = F,cell.size = 0.5,cell.transparency = 1, anno.clust=T)
B= cluster.plot(my.obj,plot.type = "umap",interactive = F,cell.size = 0.5,cell.transparency = 1,anno.clust=T)
C= cluster.plot(my.obj,plot.type = "tsne",interactive = F,cell.size = 0.5,cell.transparency = 1,anno.clust=T)
D= cluster.plot(my.obj,plot.type = "knetl",interactive = F,cell.size = 0.5,cell.transparency = 1,anno.clust=T)

grid.arrange(A,B,C,D)

  • Plotting conditions and clusters for genes
A <- gene.plot(my.obj, gene = "MS4A1", 
   plot.type = "scatterplot",
   interactive = F,
   cell.transparency = 1,
   scaleValue = TRUE,
   min.scale = 0,
   max.scale = 2.5,
   back.col = "white",
   cond.shape = TRUE)
B <- gene.plot(my.obj, gene = "MS4A1", 
   plot.type = "scatterplot",
   interactive = F,
   cell.transparency = 1,
   scaleValue = TRUE,
   min.scale = 0,
   max.scale = 2.5,
   back.col = "white",
   cond.shape = TRUE,
   conds.to.plot = c("KO","WT"))

C <- gene.plot(my.obj, gene = "MS4A1", 
   plot.type = "boxplot",
   interactive = F,
   back.col = "white",
   cond.shape = TRUE,
   conds.to.plot = c("KO"))

D <- gene.plot(my.obj, gene = "MS4A1", 
   plot.type = "barplot",
   interactive = F,
   cell.transparency = 1,
   back.col = "white",
   cond.shape = TRUE,
   conds.to.plot = c("KO","WT"))

library(gridExtra)
grid.arrange(A,B,C,D)

  • Some example 2D and 3D plots and plotting clusters and conditions at the same time
# example
cluster.plot(my.obj,
	cell.size = 1,
	plot.type = "umap",
	cell.color = "black",
	back.col = "white",
	col.by = "clusters",
	cell.transparency = 0.5,
	clust.dim = 2,
	cond.shape = T,
	interactive = T,
	out.name = "2d_UMAP_clusters_conds")

# 2D
cluster.plot(my.obj,
	cell.size = 1,
	plot.type = "tsne",
	cell.color = "black",
	back.col = "white",
	col.by = "clusters",
	cell.transparency = 0.5,
	clust.dim = 2,
	interactive = F)
	
# interactive 2D
cluster.plot(my.obj,
	plot.type = "tsne",
	col.by = "clusters",
	clust.dim = 2,
	interactive = T,
	out.name = "tSNE_2D_clusters")

# interactive 3D
cluster.plot(my.obj,
	plot.type = "tsne",
	col.by = "clusters",
	clust.dim = 3,
	interactive = T,
	out.name = "tSNE_3D_clusters")

# Density plot for clusters 
cluster.plot(my.obj,
	plot.type = "pca",
	col.by = "clusters",
	interactive = F,
	density=T)

# Density plot for conditions 
cluster.plot(my.obj,
	plot.type = "pca",
	col.by = "conditions",
	interactive = F,
	density=T)
	
cluster.plot(my.obj,
	cell.size = 1,
	plot.type = "diffusion",
	cell.color = "black",
	back.col = "white",
	col.by = "clusters",
	cell.transparency = 0.5,
	clust.dim = 2,
	interactive = F)
	
cluster.plot(my.obj,
	cell.size = 1,
	plot.type = "diffusion",
	cell.color = "black",
	back.col = "white",
	col.by = "clusters",
	cell.transparency = 0.5,
	clust.dim = 3,
	interactive = F)	

To see the above made interactive plots click on these links: 2Dplot and 3Dplot

  • Differential Expression Analysis

The differential expression (DE) analysis function in iCellR allows the users to choose from any combinations of clusters and conditions. For example, a user with two samples (say WT and KO) has four different possible ways of comparisons:

a-Comparing a cluster/clusters with different cluster/clusters (e.g. cluster 1 and 2 vs. 4)

b-Comparing a cluster/clusters with different cluster/clusters only in one/more condition/conditions (e.g. cluster 1 vs cluster 2 but only the WT sample)

c-Comparing a condition/conditions with different condition/conditions (e.g. WT vs KO)

d-Comparing a condition/conditions with different condition/conditions only in one/more cluster/clusters (e.g. cluster 1 WT vs cluster 1 KO)

diff.res <- run.diff.exp(my.obj, de.by = "clusters", cond.1 = c(1,4), cond.2 = c(2))
diff.res1 <- as.data.frame(diff.res)
diff.res1 <- subset(diff.res1, padj < 0.05)
head(diff.res1)
#             baseMean        1_4           2 foldChange log2FoldChange         pval
#AAK1       0.19554589 0.26338228 0.041792762 0.15867719      -2.655833 8.497012e-33
#ABHD14A    0.09645732 0.12708519 0.027038379 0.21275791      -2.232715 1.151865e-11
#ABHD14B    0.19132829 0.23177944 0.099644572 0.42991118      -1.217889 3.163623e-09
#ABLIM1     0.06901900 0.08749258 0.027148089 0.31029018      -1.688310 1.076382e-06
#AC013264.2 0.07383608 0.10584821 0.001279649 0.01208947      -6.370105 1.291674e-19
#AC092580.4 0.03730859 0.05112053 0.006003441 0.11743700      -3.090041 5.048838e-07
                   padj
#AAK1       1.294690e-28
#ABHD14A    1.708446e-07
#ABHD14B    4.636290e-05
#ABLIM1     1.540087e-02
#AC013264.2 1.950557e-15
#AC092580.4 7.254675e-03

# more examples 

# Comparing a condition/conditions with different condition/conditions (e.g. WT vs KO)
diff.res <- run.diff.exp(my.obj, de.by = "conditions", cond.1 = c("WT"), cond.2 = c("KO"))

# Comparing a cluster/clusters with different cluster/clusters (e.g. cluster 1 and 2 vs. 4)
diff.res <- run.diff.exp(my.obj, de.by = "clusters", cond.1 = c(1,4), cond.2 = c(2))

# Comparing a condition/conditions with different condition/conditions only in one/more cluster/clusters (e.g. cluster 1 WT vs cluster 1 KO)
diff.res <- run.diff.exp(my.obj, de.by = "clustBase.condComp", cond.1 = c("WT"), cond.2 = c("KO"), base.cond = 1)

# Comparing a cluster/clusters with different cluster/clusters only in one/more condition/conditions (e.g. cluster 1 vs cluster 2 but only the WT sample)
diff.res <- run.diff.exp(my.obj, de.by = "condBase.clustComp", cond.1 = c(1), cond.2 = c(2), base.cond = "WT")
  • Volcano and MA plots
# Volcano Plot 
volcano.ma.plot(diff.res,
	sig.value = "pval",
	sig.line = 0.05,
	plot.type = "volcano",
	interactive = F)

# MA Plot
volcano.ma.plot(diff.res,
	sig.value = "pval",
	sig.line = 0.05,
	plot.type = "ma",
	interactive = F)

  • Merging, resetting, renaming and removing clusters
# let's say you  want to merge cluster 3 and 2.
my.obj <- change.clust(my.obj, change.clust = 3, to.clust = 2)

# to reset to the original clusters run this.
my.obj <- change.clust(my.obj, clust.reset = T)

# you can also re-name the cluster numbers to cell types. Remember to reset after this so you can ran other analysis. 
my.obj <- change.clust(my.obj, change.clust = 7, to.clust = "B Cell")

# Let's say for what ever reason you want to remove acluster, to do so run this.
my.obj <- clust.rm(my.obj, clust.to.rm = 1)

# Remember that this would perminantly remove the data from all the slots in the object except frrom raw.data slot in the object. If you want to reset you need to start from the filtering cells step in the biginging of the analysis (using cell.filter function). 

# To re-position the cells run tSNE again 
my.obj <- run.tsne(my.obj, clust.method = "gene.model", gene.list = "my_model_genes.txt")

# Use this for plotting as you make the changes
cluster.plot(my.obj,
   cell.size = 1,
   plot.type = "tsne",
   cell.color = "black",
   back.col = "white",
   col.by = "clusters",
   cell.transparency = 0.5,
   clust.dim = 2,
   interactive = F)

  • Cell gating
my.plot <- gene.plot(my.obj, gene = "GNLY", 
  plot.type = "scatterplot",
  clust.dim = 2,
  interactive = F)

cell.gating(my.obj, my.plot = my.plot, plot.type = "tsne")	

# or 

#my.plot <- cluster.plot(my.obj,
#	cell.size = 1,
#	cell.transparency = 0.5,
#	clust.dim = 2,
#	interactive = F)

After downloading the cell ids, use the following command to rename their cluster.

my.obj <- gate.to.clust(my.obj, my.gate = "cellGating.txt", to.clust = 10)

Batch correction (sample alignment) methods:

1- CPCA (iCellR)** recommended (faster than CCCA)

2- CCCA (iCellR)* recommended

3- MNN (scran wraper) optional

4- MultiCCA (Seurat wraper) optional

5- CPCA + drawing KNetL based clustering (iCellR)*** recommended for best results!

1- How to perform Combined Principal Component Alignment (CPCA)

We analyzed nine PBMC sample datasets provided by the Broad Institute to detect batch differences. These datasets were generated using varying technologies, including 10x Chromium v2 (3 samples), 10x Chromium v3, CEL-Seq2, Drop-seq, inDrop, Seq-Well and SMART-Seq. For more info read: https://www.biorxiv.org/content/10.1101/2020.03.31.019109v1.full

## download an object of 9 PBMC samples 
sample.file.url = "https://genome.med.nyu.edu/results/external/iCellR/data/pbmc_data/my.obj.Robj"

# download the file
download.file(url = sample.file.url,
     destfile = "my.obj.Robj",
     method = "auto")
     
### load iCellR and the object 
library(iCellR)
load("my.obj.Robj")

### run PCA on top 2000 genes 

my.obj <- run.pca(my.obj, top.rank = 2000)

### find best genes for second round PCA or batch alignment

my.obj <- find.dim.genes(my.obj, dims = 1:30,top.pos = 20, top.neg = 20)
length(my.obj@gene.model)

########### Batch alignment (CPCA method)

my.obj <- iba(my.obj,dims = 1:30, k = 10,ba.method = "CPCA", method = "gene.model", gene.list = my.obj@gene.model)

### impute data 

my.obj <- run.impute(my.obj,dims = 1:10,data.type = "pca", nn = 10)

### tSNE and UMAP
my.obj <- run.pc.tsne(my.obj, dims = 1:10)
my.obj <- run.umap(my.obj, dims = 1:10)

### save object 
save(my.obj, file = "my.obj.Robj")

### plot

 library(gridExtra)
A= cluster.plot(my.obj,plot.type = "umap",interactive = F,cell.size = 0.1)
B= cluster.plot(my.obj,plot.type = "tsne",interactive = F,cell.size = 0.1) 
C= cluster.plot(my.obj,plot.type = "umap",col.by = "conditions",interactive = F,cell.size = 0.1)
D=cluster.plot(my.obj,plot.type = "tsne",col.by = "conditions",interactive = F,cell.size = 0.1)

png('AllClusts.png', width = 12, height = 12, units = 'in', res = 300)
grid.arrange(A,B,C,D)
dev.off()

png('AllConds_clusts.png', width = 15, height = 15, units = 'in', res = 300)
cluster.plot(my.obj,
              cell.size = 0.5,
              plot.type = "umap",
              cell.color = "black",
              back.col = "white",
              cell.transparency = 1,
              clust.dim = 2,
              interactive = F,cond.facet = T)
dev.off()


genelist = c("PPBP","LYZ","MS4A1","GNLY","FCGR3A","NKG7","CD14","S100A9","CD3E","CD8A","CD4","CD19","IL7R","FOXP3","EPCAM")

for(i in genelist){
	MyPlot <- gene.plot(my.obj, gene = i, 
		interactive = F,
		conds.to.plot = NULL,
		cell.size = 0.1,
		data.type = "main",
		plot.data.type = "umap",
		scaleValue = T,
		min.scale = -2.5,max.scale = 2.0,
		cell.transparency = 1)
	NameCol=paste("PL",i,sep="_")
	eval(call("<-", as.name(NameCol), MyPlot))
}

UMAP = cluster.plot(my.obj,plot.type = "umap",interactive = F,cell.size = 0.1, anno.size=5)
library(cowplot)
filenames <- ls(pattern="PL_")
filenames <- c("UMAP", filenames)

png('genes.png',width = 18, height = 15, units = 'in', res = 300)
plot_grid(plotlist=mget(filenames))
dev.off()

2- How to perform Combined Coverage Correction Alignment (CCCA)

# same as above only change the option to CCCA

my.obj <- iba(my.obj,dims = 1:30, k = 10,ba.method = "CCCA", method = "gene.model", gene.list = my.obj@gene.model)

3- How to perform mutual nearest neighbor (MNN) sample alignment

# same as above only use run.mnn function instead of iba.
###### Run MNN 
# This would automatically run all the samples in your experiment 

library(scran)
my.obj <- run.mnn(my.obj, k=20, d=50, method = "gene.model", gene.list = my.obj@gene.model)

# detach the scran pacakge after MNN as it masks some of the functions 
detach("package:scran", unload=TRUE)

4- How to perform Seurat's MultiCCA sample alignment

# same as above only use run.anchor function instead of iba.
###### Run Anchor 
# This would automatically run all the samples in your experiment 

library(Seurat)
my.obj <- run.anchor(my.obj,
    normalization.method = "SCT",
    scale.factor = 10000,
    selection.method = "vst",
    nfeatures = 2000,
    dims = 1:20)

5- How to perform CPCA + KNetL based clustering for sample alignment/integration

## download an object of 9 PBMC samples 
sample.file.url = "https://genome.med.nyu.edu/results/external/iCellR/example2/my.obj.Robj"

# download the file
download.file(url = sample.file.url,
     destfile = "my.obj.Robj",
     method = "auto")
     
### load iCellR and the object 
library(iCellR)
load("my.obj.Robj")

### run PCA on top 2000 genes 

my.obj <- run.pca(my.obj, top.rank = 2000)

### find best genes for second round PCA or batch alignment

my.obj <- find.dim.genes(my.obj, dims = 1:30,top.pos = 20, top.neg = 20)
length(my.obj@gene.model)

########### Batch alignment (CPCA method)

my.obj <- iba(my.obj,dims = 1:30, k = 10,ba.method = "CPCA", method = "gene.model", gene.list = my.obj@gene.model)

### impute data 

my.obj <- run.impute(my.obj,dims = 1:10,data.type = "pca", nn = 10)

### tSNE and UMAP
my.obj <- run.pc.tsne(my.obj, dims = 1:10)
my.obj <- run.umap(my.obj, dims = 1:10)
### run KNetL 
my.obj <- run.knetl(my.obj, dims = 1:20, k = 400)

### cluster based on KNetL coordinates 
# The object is already clustered but here is an example: 
# my.obj <- iclust(my.obj, k = 300, data.type = "knetl")

### save object 
save(my.obj, file = "my.obj.Robj")

### plot 1 
A= cluster.plot(my.obj,plot.type = "pca",interactive = F,cell.size = 0.5,cell.transparency = 1, anno.clust=F)
B= cluster.plot(my.obj,plot.type = "umap",interactive = F,cell.size = 0.5,cell.transparency = 1,anno.clust=F)
C= cluster.plot(my.obj,plot.type = "tsne",interactive = F,cell.size = 0.5,cell.transparency = 1,anno.clust=F)
D= cluster.plot(my.obj,plot.type = "knetl",interactive = F,cell.size = 0.5,cell.transparency = 1,anno.clust=F)

library(gridExtra)
grid.arrange(A,B,C,D)

### plot 2
cluster.plot(my.obj,
              cell.size = 0.5,
              plot.type = "knetl",
              cell.color = "black",
              back.col = "white",
              cell.transparency = 1,
              clust.dim = 2,
              interactive = F,cond.facet = T)
	      
### plot 3	      	      
genelist = c("LYZ","MS4A1","GNLY","FCGR3A","NKG7","CD14","S100A9","CD3E","CD8A","CD4","CD19","KLRB1","LTB","IL7R","GZMH","CD68","CCR7","CD68","CD69","CXCR4","IFITM3","IL32","JCHAIN","VCAN","PPBP")	      


rm(list = ls(pattern="PL_"))
for(i in genelist){
    MyPlot <- gene.plot(my.obj, gene = i,
        interactive = F,
        cell.size = 0.1,
        plot.data.type = "knetl",
        data.type = "main",
        scaleValue = T,
        min.scale = -2.5,max.scale = 2.0,
        cell.transparency = 1)
    NameCol=paste("PL",i,sep="_")
    eval(call("<-", as.name(NameCol), MyPlot))
}

library(cowplot)
filenames <- ls(pattern="PL_")

B <- cluster.plot(my.obj,plot.type = "knetl",interactive = F,cell.size = 0.1,cell.transparency = 1,anno.clust=T)
filenames <- c("B",filenames)

plot_grid(plotlist=mget(filenames))	      

  • Pseudotime analysis
MyGenes <- top.markers(marker.genes, topde = 50, min.base.mean = 0.2)
MyGenes <- unique(MyGenes)

pseudotime.tree(my.obj,
   marker.genes = MyGenes,
   type = "unrooted",
   clust.method = "complete")

# or 

pseudotime.tree(my.obj,
   marker.genes = MyGenes,
   type = "classic",
   clust.method = "complete")
   
pseudotime.tree(my.obj,
   marker.genes = MyGenes,
   type = "jitter",
   clust.method = "complete")	

  • Pseudotime analysis using monocle
library(monocle)

MyMTX <- my.obj@main.data
GeneAnno <- as.data.frame(row.names(MyMTX))
colnames(GeneAnno) <- "gene_short_name"
row.names(GeneAnno) <- GeneAnno$gene_short_name
cell.cluster <- (my.obj@best.clust)
Ha <- data.frame(do.call('rbind', strsplit(as.character(row.names(cell.cluster)),'_',fixed=TRUE)))[1]
clusts <- paste("cl.",as.character(cell.cluster$clusters),sep="")
cell.cluster <- cbind(cell.cluster,Ha,clusts)
colnames(cell.cluster) <- c("Clusts","iCellR.Conds","iCellR.Clusts")
Samp <- new("AnnotatedDataFrame", data = cell.cluster)
Anno <- new("AnnotatedDataFrame", data = GeneAnno)
my.monoc.obj <- newCellDataSet(as.matrix(MyMTX),phenoData = Samp, featureData = Anno)

## find disperesedgenes 
my.monoc.obj <- estimateSizeFactors(my.monoc.obj)
my.monoc.obj <- estimateDispersions(my.monoc.obj)
disp_table <- dispersionTable(my.monoc.obj)

unsup_clustering_genes <- subset(disp_table, mean_expression >= 0.1)
my.monoc.obj <- setOrderingFilter(my.monoc.obj, unsup_clustering_genes$gene_id)

# tSNE
my.monoc.obj <- reduceDimension(my.monoc.obj, max_components = 2, num_dim = 10,reduction_method = 'tSNE', verbose = T)
# cluster 
my.monoc.obj <- clusterCells(my.monoc.obj, num_clusters = 10)

## plot conditions and clusters based on iCellR analysis 
A <- plot_cell_clusters(my.monoc.obj, 1, 2, color = "iCellR.Conds")
B <- plot_cell_clusters(my.monoc.obj, 1, 2, color = "iCellR.Clusts")

## plot clusters based monocle analysis 
C <- plot_cell_clusters(my.monoc.obj, 1, 2, color = "Cluster")

# get marker genes from iCellR analysis
MyGenes <- top.markers(marker.genes, topde = 30, min.base.mean = 0.2)
my.monoc.obj <- setOrderingFilter(my.monoc.obj, MyGenes)

my.monoc.obj <- reduceDimension(my.monoc.obj, max_components = 2,method = 'DDRTree')
# order cells 
my.monoc.obj <- orderCells(my.monoc.obj)

# plot based on iCellR analysis and marker genes from iCellR
D <- plot_cell_trajectory(my.monoc.obj, color_by = "iCellR.Clusts")

## heatmap genes from iCellR

plot_pseudotime_heatmap(my.monoc.obj[MyGenes,],
  cores = 1,
  cluster_rows = F,
  use_gene_short_name = T,
  show_rownames = T)

How to demultiplex with hashtag oligos (HTOs)

# Read an example file
 
# my.hto <- read.table(file = system.file('extdata', 'dense_umis.tsv', package = 'iCellR'), as.is = TRUE)
# or 
my.data <- load10x("filtered_feature_bc_matrix",gene.name = 2)

# Your HTOs are usually in the end of all the gene names

# tail(row.names(my.data),5)
# [1] "TotalSeq.C0254_anti.human_Hashtag_4_Antibody"
# [2] "TotalSeq.C0255_anti.human_Hashtag_5_Antibody"
# [3] "TotalSeq.C0256_anti.human_Hashtag_6_Antibody"
# [4] "TotalSeq.C0257_anti.human_Hashtag_7_Antibody"
# [5] "TotalSeq.C0258_anti.human_Hashtag_8_Antibody" 

# your HTOs are usually in the matrix and have names that are different than gene names
# Your HTO names 
HTOs <- grep("^TotalSeq",row.names(my.data),value=T)

# your gene names 
RNAs <- subset(row.names(my.data), !(row.names(my.data) %in% HTOs))

MyHTOs <- subset(my.data, row.names(my.data) %in% HTOs)
MyRNAs <- subset(my.data, row.names(my.data) %in% RNAs)

dim(MyHTOs)
dim(MyRNAs)

 
# run annotation
data <- hto.anno(hto.data = MyHTOs, cov.thr = 3, assignment.thr = 80)
data <- (cbind(ID = rownames(data),data))
write.table((data),"HTOs_annotated_HSThigh.tsv",sep="\t", row.names =F)

head(data)
#                 Hashtag1-GTCAACTCTTTAGCG Hashtag2-TGATGGCCTATTGGG
#TGACAACAGGGCTCTC                        3                       18
#AAGGAGCGTCATTAGC                        7                       24
#AGTGAGGAGACTGTAA                        7                     1761
#ATCCACCCATGTTCCC                      753                       20
#AAACGGGCAGGACCCT                      728                       24
#ATGTGTGAGTCTTGCA                        4                       25
#                 Hashtag3-TTCCGCCTCTCTTTG Hashtag4-AGTAAGTTCAGCGTA
#TGACAACAGGGCTCTC                        7                        0
#AAGGAGCGTCATTAGC                        8                        0
#AGTGAGGAGACTGTAA                        5                        0
#ATCCACCCATGTTCCC                        3                        0
#AAACGGGCAGGACCCT                        3                        0
#ATGTGTGAGTCTTGCA                      370                        0
#                 Hashtag5-AAGTATCGTTTCGCA Hashtag7-TGTCTTTCCTGCCAG unmapped
#TGACAACAGGGCTCTC                      890                        5       17
#AAGGAGCGTCATTAGC                        2                        3        3
#AGTGAGGAGACTGTAA                       11                        3       87
#ATCCACCCATGTTCCC                        5                        6       18
#AAACGGGCAGGACCCT                        9                        3       16
#ATGTGTGAGTCTTGCA                        9                     1011       25
#                    assignment.annotation percent.match coverage low.cov
#TGACAACAGGGCTCTC Hashtag5-AAGTATCGTTTCGCA      94.68085      940   FALSE
#AAGGAGCGTCATTAGC Hashtag2-TGATGGCCTATTGGG      51.06383       47    TRUE
#AGTGAGGAGACTGTAA Hashtag2-TGATGGCCTATTGGG      93.97012     1874   FALSE
#ATCCACCCATGTTCCC Hashtag1-GTCAACTCTTTAGCG      93.54037      805   FALSE
#AAACGGGCAGGACCCT Hashtag1-GTCAACTCTTTAGCG      92.97573      783   FALSE
#ATGTGTGAGTCTTGCA Hashtag7-TGTCTTTCCTGCCAG      70.01385     1444   FALSE
#                 assignment.threshold
#TGACAACAGGGCTCTC      good.assignment
#AAGGAGCGTCATTAGC               unsure
#AGTGAGGAGACTGTAA      good.assignment
#ATCCACCCATGTTCCC      good.assignment
#AAACGGGCAGGACCCT      good.assignment
#ATGTGTGAGTCTTGCA               unsure

# plot

A = ggplot(data, aes(assignment.annotation,percent.match)) +
	geom_jitter(alpha = 0.25, color = "blue") +
	geom_boxplot(alpha = 0.5) + 
	theme_bw() + 
	theme(axis.text.x=element_text(angle=90))

B = ggplot(data, aes(low.cov,percent.match)) +
	geom_jitter(alpha = 0.25, color = "blue") +
	geom_boxplot(alpha = 0.5) + 
	theme_bw() + 
	theme(axis.text.x=element_text(angle=90))

library(gridExtra)
Name="HTO_stats.png"
png(Name, width = 8, height = 8, units = 'in', res = 300)
grid.arrange(A,B,ncol=2)
dev.off()

  • Filtering HTOs and merging the samples
# let's see how many cells are there
dim(data)

# let's say you want to have the cells that are above 80 % likelihood of belonging to an HTO
data <- subset(data, percent.match > 80)

# let's see how many cells are left
dim(data)

# Take the HTO IDs that passed filtering 
bestHTOs <- as.character(unique(data$assignment.annotation))

####################
# create new files (matrices) for each HTO (with number of cells added to the folder names)
####################

library(Matrix)
for(i in bestHTOs){
   sample <- row.names(subset(data,data$assignment.annotation == i))
   message(paste(" getting sample",i,"..."))
   sample <- MyRNAs[ , which(names(MyRNAs) %in% sample)]
   message(paste(" number of cells",dim(sample)[2]))
   Name=paste("RNAs",i,dim(sample)[2],sep="_")
   message(paste(" writing sample",i,"..."))
dir.create(Name)
COLs <- colnames(sample)
ROWs <- row.names(sample)
colnames(sample) <- NULL
row.names(sample) <- NULL
sparse.gbm <- Matrix(as.matrix.data.frame(sample), sparse = T )
Name1=paste(Name,"matrix.mtx",sep="/")
writeMM(obj = sparse.gbm, file=Name1)
Name1=paste(Name,"barcodes.tsv.gz",sep="/")
write.table((COLs),gzfile(Name1), row.names =FALSE, quote = FALSE, col.names = FALSE)
MY.ROWs <- cbind(ROWs,ROWs)
Name1=paste(Name,"genes.tsv.gz",sep="/")
write.table((MY.ROWs),gzfile(Name1),sep="\t", row.names =F, quote = FALSE, col.names = FALSE)
}

####################
####################
# example data aggregation for 2 samples/HTOs
my.data <- data.aggregation(samples = c("HTO1","HTO2"), 
   condition.names = c("HTO1","HTO2"))
   
# make iCellR object	
my.obj <- make.obj(my.data)

# The rest is as above :)

How to use i.score to rank/score the cells:

This data is from this publication (GEO number: GSE156246 and PMID: 34911733)

This is a how to guide to run i.score function in iCellR and to reproduce the above published data for G0 and non G0 cells.

Download the sample iCellR objects (used in the publication) from here: https://genome.med.nyu.edu/results/external/iCellR/i.score/ ([email protected] in these objects are log normalized)

Download sample gene signatures from here: https://genome.med.nyu.edu/results/external/iCellR/i.score/gene_signatures.tar.gz (gene signatures used in the publication are in the supplementary data of the paper)

# load sample gene signature that are in iCellR 
# (these cell cycle signatures are from here: https://www.nature.com/articles/s41586-019-1884-x)

library(iCellR)
G0 <- readLines(system.file('extdata', 'G0.txt', package = 'iCellR'))
G1S <- readLines(system.file('extdata', 'G1S.txt', package = 'iCellR'))
G2M <- readLines(system.file('extdata', 'G2M.txt', package = 'iCellR'))
M <- readLines(system.file('extdata', 'M.txt', package = 'iCellR'))
MG1 <- readLines(system.file('extdata', 'MG1.txt', package = 'iCellR'))
S <- readLines(system.file('extdata', 'S.txt', package = 'iCellR'))

# load all the gene signatures 

Melnick_10_GILMORE_CORE_NFKB_PATHWAY.txt <- readLines("10_GILMORE_CORE_NFKB_PATHWAY.txt")
Melnick_11_HALLMARK_MYC_TARGETS_V1.txt <- readLines("11_HALLMARK_MYC_TARGETS_V1.txt")
Melnick_12_GO_BETA_CATENIN_BINDING.txt <- readLines("12_GO_BETA_CATENIN_BINDING.txt")
Melnick_13_PID_BETA_CATENIN_NUC_PATHWAY.txt <- readLines("13_PID_BETA_CATENIN_NUC_PATHWAY.txt")
Melnick_14_PID_WNT_SIGNALING_PATHWAY.txt <- readLines("14_PID_WNT_SIGNALING_PATHWAY.txt")
Melnick_15_PID_WNT_CANONICAL_PATHWAY.txt <- readLines("15_PID_WNT_CANONICAL_PATHWAY.txt")
Melnick_16_Pribluda_SENESCENCE_INFLAMMATORY_GENES.txt <- readLines("16_Pribluda_SENESCENCE_INFLAMMATORY_GENES.txt")
Melnick_17_FRIDMAN_SENESCENCE_DN.txt <- readLines("17_FRIDMAN_SENESCENCE_DN.txt")
Melnick_18_FRIDMAN_SENESCENCE_UP.txt <- readLines("18_FRIDMAN_SENESCENCE_UP.txt")
Melnick_19_DeJONGE_LSC_TOP50_genes.txt <- readLines("19_DeJONGE_LSC_TOP50_genes.txt")
Melnick_1_AML1566_AraC_UP.txt <- readLines("1_AML1566_AraC_UP.txt")
Melnick_20_GAL_LEUKEMIC_STEM_CELL_UP.txt <- readLines("20_GAL_LEUKEMIC_STEM_CELL_UP.txt")
Melnick_21_GAL_LEUKEMIC_STEM_CELL_DN.txt <- readLines("21_GAL_LEUKEMIC_STEM_CELL_DN.txt")
Melnick_22_EPPERT_CE_HSC_LSC.txt <- readLines("22_EPPERT_CE_HSC_LSC.txt")
Melnick_23_JAATINEN_HEMATOPOIETIC_STEM_CELL_UP.txt <- readLines("23_JAATINEN_HEMATOPOIETIC_STEM_CELL_UP.txt")
Melnick_24_JAATINEN_HEMATOPOIETIC_STEM_CELL_DN.txt <- readLines("24_JAATINEN_HEMATOPOIETIC_STEM_CELL_DN.txt")
Melnick_25_INFLAMMATORY_RESPONSE.txt <- readLines("25_INFLAMMATORY_RESPONSE.txt")
Melnick_26_RAMALHO_STEMNESS_DN.txt <- readLines("26_RAMALHO_STEMNESS_DN.txt")
Melnick_27_RAMALHO_STEMNESS_UP.txt <- readLines("27_RAMALHO_STEMNESS_UP.txt")
Melnick_28_REACTOME_REGULATION_OF_MITOTIC_CELL_CYCLE.txt <- readLines("28_REACTOME_REGULATION_OF_MITOTIC_CELL_CYCLE.txt")
Melnick_2_AML1566_AraC_DN.txt <- readLines("2_AML1566_AraC_DN.txt")
Melnick_3_DUY_CISG_UP.txt <- readLines("3_DUY_CISG_UP.txt")
Melnick_4_DUY_CISG_DN.txt <- readLines("4_DUY_CISG_DN.txt")
Melnick_5_DIAPAUSE_UP_BOROVIAK.txt <- readLines("5_DIAPAUSE_UP_BOROVIAK.txt")
Melnick_6_BOROVIAK_DIAPAUSE_DN.txt <- readLines("6_BOROVIAK_DIAPAUSE_DN.txt")
Melnick_7_SASP_COPPE.txt <- readLines("7_SASP_COPPE.txt")
Melnick_8_SALDIVAR_ATR_SUPPRESSED_TARGETS.txt <- readLines("8_SALDIVAR_ATR_SUPPRESSED_TARGETS.txt")
Melnick_9_BIOCARTA_NFKB_PATHWAY.txt <- readLines("9_BIOCARTA_NFKB_PATHWAY.txt")
diapause_neg.txt <- readLines("diapause_neg.txt")
diapause_pos_and_neg.txt <- readLines("diapause_pos_and_neg.txt")
diapause_pos.txt <- readLines("diapause_pos.txt")
DTP_sig_150_Down.txt <- readLines("DTP_sig_150_Down.txt")
DTP_sig_150_up.txt <- readLines("DTP_sig_150_up.txt")
Lum_uniq_down.txt <- readLines("Lum_uniq_down.txt")
Lum_uniq_up.txt <- readLines("Lum_uniq_up.txt")
Mes_uniq_down.txt <- readLines("Mes_uniq_down.txt")
Mes_uniq_up.txt <- readLines("Mes_uniq_up.txt")
panDTP_DN.txt <- readLines("new_panDTP_DN.txt")
panDTP_up.txt <- readLines("new_panDTP_up.txt")
mes_DTP_included_DEG_DN.txt <- readLines("new_mes_DTP_included_DEG_DN.txt")
mes_DTP_included_DEG_UP.txt <- readLines("new_mes_DTP_included_DEG_UP.txt")
lum_DTP_included_DEG_DN.txt <- readLines("new_lum_DTP_included_DEG_DN.txt")
lum_DTP_included_DEG_UP.txt <- readLines("new_lum_DTP_included_DEG_UP.txt")
lum_DTP_specific_UP_noCC.txt <- readLines("new_lum_DTP_specific_UP_noCC_.txt")
mes_DTP_specific_UP_noCC.txt <- readLines("new_mes_DTP_specific_UP_noCC_.txt")

Group all the signatures in one character object:

All <- c("Melnick_10_GILMORE_CORE_NFKB_PATHWAY.txt","Melnick_11_HALLMARK_MYC_TARGETS_V1.txt","Melnick_12_GO_BETA_CATENIN_BINDING.txt","Melnick_13_PID_BETA_CATENIN_NUC_PATHWAY.txt","Melnick_14_PID_WNT_SIGNALING_PATHWAY.txt","Melnick_15_PID_WNT_CANONICAL_PATHWAY.txt","Melnick_16_Pribluda_SENESCENCE_INFLAMMATORY_GENES.txt","Melnick_17_FRIDMAN_SENESCENCE_DN.txt","Melnick_18_FRIDMAN_SENESCENCE_UP.txt","Melnick_19_DeJONGE_LSC_TOP50_genes.txt","Melnick_1_AML1566_AraC_UP.txt","Melnick_20_GAL_LEUKEMIC_STEM_CELL_UP.txt","Melnick_21_GAL_LEUKEMIC_STEM_CELL_DN.txt","Melnick_22_EPPERT_CE_HSC_LSC.txt","Melnick_23_JAATINEN_HEMATOPOIETIC_STEM_CELL_UP.txt","Melnick_24_JAATINEN_HEMATOPOIETIC_STEM_CELL_DN.txt","Melnick_25_INFLAMMATORY_RESPONSE.txt","Melnick_26_RAMALHO_STEMNESS_DN.txt","Melnick_27_RAMALHO_STEMNESS_UP.txt","Melnick_28_REACTOME_REGULATION_OF_MITOTIC_CELL_CYCLE.txt","Melnick_2_AML1566_AraC_DN.txt","Melnick_3_DUY_CISG_UP.txt","Melnick_4_DUY_CISG_DN.txt","Melnick_5_DIAPAUSE_UP_BOROVIAK.txt","Melnick_6_BOROVIAK_DIAPAUSE_DN.txt","Melnick_7_SASP_COPPE.txt","Melnick_8_SALDIVAR_ATR_SUPPRESSED_TARGETS.txt","Melnick_9_BIOCARTA_NFKB_PATHWAY.txt","diapause_neg.txt","diapause_pos_and_neg.txt","diapause_pos.txt","DTP_sig_150_Down.txt","DTP_sig_150_up.txt","Lum_uniq_down.txt","Lum_uniq_up.txt","Mes_uniq_down.txt","Mes_uniq_up.txt","G0","G1S","G2M","M","MG1","S","panDTP_DN.txt","panDTP_up.txt","mes_DTP_included_DEG_DN.txt","mes_DTP_included_DEG_UP.txt","lum_DTP_included_DEG_DN.txt","lum_DTP_included_DEG_UP.txt","lum_DTP_specific_UP_noCC.txt","mes_DTP_specific_UP_noCC.txt")

Load your sample iCellR object

load("BT474_DTP.Robj")

Score for cell cycle gene signatures with any of the following scoring methods: tirosh, mean, sum, gsva, ssgsea, zscore and plage. (tirosh and zscore methods are recommended to perform best)

dat1 <- i.score(my.obj, scoring.List = c("G0","G1S","G2M","M","MG1","S") ,scoring.method = "tirosh",return.stats = TRUE, data.type = "raw.data")
write.table(dat1,"tirosh_G0.tsv",sep="\t")

Score for all the other signatures (tirosh, mean, sum, gsva, ssgsea, zscore and plage)

dat2 <- i.score(my.obj, scoring.List = All ,scoring.method = "tirosh",return.stats = TRUE, data.type = "raw.data")
write.table(dat2,"tirosh_all.tsv",sep="\t")

Prepare data to plot (marge dat1 and dat2)

dir.create("boxplots_tirosh")
setwd("boxplots_tirosh")

data <- read.table("../tirosh_all.tsv",sep="\t",header=T)
dataCC <- read.table("../tirosh_G0.tsv",sep="\t",header=T)

df = as.character(dataCC$assignment.annotation) == "G0"
df[ df == "TRUE" ] <- "GO"
df[ df == "FALSE" ] <- "nonGO"

data <- cbind(cond = rep("sample",length(df)),
    ID = rownames(data),
    assignment.annotation = dataCC$assignment.annotation,
    GO_nonGO = df,
    data)

write.table((data),file="data.xls",sep="\t", row.names =F)

Plot all the signatures individually:

data <- read.table("data.xls",sep="\t",header=T)

g <- head(data)[5:55]
g <- colnames(g)

library(ggpubr)

for(i in g){
    name <- paste("boxplot_",i,".png",sep="")
    png(name,width = 6, height = 4, units = 'in', res = 300)
    print(ggplot(data, aes(x= GO_nonGO,y=data[, i],fill = GO_nonGO, alpha = 0.5)) +
    geom_jitter(size = 0.2, color="black") +
    geom_violin(trim=FALSE, col = "black", alpha = 0.5) +
    geom_boxplot(outlier.color = NA) +
    theme_bw() +
    xlab("Condition") +
    ylab("Signature Score") +
    scale_y_continuous(trans = "log1p") +
    stat_compare_means(aes(group = GO_nonGO), label = "p.signif", label.x = 1.5) +
    theme(axis.text.x = element_blank()))
    dev.off()
}

Example for "lum_DTP_included_DEG_DN.txt"

To see all the plots made as above go to this link: https://genome.med.nyu.edu/results/external/iCellR/i.score/test/boxplots_tirosh/

How to analyze CITE-seq data using iCellR

  • Download test samples
sample.file.url = "https://genome.med.nyu.edu/results/external/iCellR/data/CITE-Seq_sample_RNA.tsv.gz"

# download RNA file

download.file(url = sample.file.url, 
    destfile = "CITE-Seq_sample_RNA.tsv.gz", 
    method = "auto")  

sample.file.url = "https://genome.med.nyu.edu/results/external/iCellR/data/CITE-Seq_sample_ADT.tsv.gz"

# download ADT file

download.file(url = sample.file.url, 
    destfile = "CITE-Seq_sample_ADT.tsv.gz", 
    method = "auto")  
  • Read the files and make your object
# Read RNA file
rna.data <- read.delim("CITE-Seq_sample_RNA.tsv.gz",header=TRUE)

# see the head 
head(rna.data)[1:3]
#          CTGTTTACACCGCTAG CTCTACGGTGTGGCTC AGCAGCCAGGCTCATT
#A1BG                    0                0                0
#A1BG-AS1                0                0                0
#A1CF                    0                0                0
#A2M                     0                0                0
#A2M-AS1                 0                0                0
#A2ML1                   0                0                0

# Read ADT file
adt.data <- read.delim("CITE-Seq_sample_ADT.tsv.gz",header=TRUE)

# see the head 
head(adt.data)[1:3]
#        CTGTTTACACCGCTAG CTCTACGGTGTGGCTC AGCAGCCAGGCTCATT
#CD3                  60               52               89
#CD4                  72               49              112
#CD8                  76               59               61
#CD45RA              575             3943              682
#CD56                 64               68               87
#CD16                161              107              117

# if you had multiple sample use the data.aggregation function for both RNA and ADT data. 

# make iCellR object
my.obj <- make.obj(rna.data)

# check object
my.obj
###################################
,--. ,-----.       ,--.,--.,------.
`--''  .--./ ,---. |  ||  ||  .--. '
,--.|  |    | .-. :|  ||  ||  '--'.'
|  |'  '--'\   --. |  ||  ||  |
`--' `-----' `----'`--'`--'`--' '--'
###################################
An object of class iCellR version: 1.1.4
Raw/original data dimentions (rows,columns): 20501,8617
Data conditions: no conditions/single sample
Row names: A1BG,A1BG-AS1,A1CF ...
Columns names: CTGTTTACACCGCTAG,CTCTACGGTGTGGCTC,AGCAGCCAGGCTCATT ...
###################################
 QC stats performed:FALSE, PCA performed:FALSE, CCA performed:FALSE
 Clustering performed:FALSE, Number of clusters:0
 tSNE performed:FALSE, UMAP performed:FALSE, DiffMap performed:FALSE
 Main data dimentions (rows,columns):0,0
 Normalization factors:,...
 Imputed data dimentions (rows,columns):0,0
############## scVDJ-Seq ###########
VDJ data dimentions (rows,columns):0,0
############## CITE-Seq ############
 ADT raw data dimentions (rows,columns):0,0
 ADT main data dimentions (rows,columns):0,0
 ADT columns names:...
 ADT row names:...
########### iCellR object ##########
  • add ADT data
my.obj <- add.adt(my.obj, adt.data = adt.data)

# check too see
 my.obj
###################################
,--. ,-----.       ,--.,--.,------.
`--''  .--./ ,---. |  ||  ||  .--. '
,--.|  |    | .-. :|  ||  ||  '--'.'
|  |'  '--'\   --. |  ||  ||  |
`--' `-----' `----'`--'`--'`--' '--'
###################################
An object of class iCellR version: 1.1.4
Raw/original data dimentions (rows,columns): 20501,8617
Data conditions: no conditions/single sample
Row names: A1BG,A1BG-AS1,A1CF ...
Columns names: CTGTTTACACCGCTAG,CTCTACGGTGTGGCTC,AGCAGCCAGGCTCATT ...
###################################
   QC stats performed:FALSE, PCA performed:FALSE, CCA performed:FALSE
   Clustering performed:FALSE, Number of clusters:0
   tSNE performed:FALSE, UMAP performed:FALSE, DiffMap performed:FALSE
   Main data dimentions (rows,columns):0,0
   Normalization factors:,...
   Imputed data dimentions (rows,columns):0,0
############## scVDJ-Seq ###########
VDJ data dimentions (rows,columns):0,0
############## CITE-Seq ############
-   ADT raw data dimentions (rows,columns):10,8617
   ADT main data dimentions (rows,columns):0,0
   ADT columns names:...
   ADT row names:...
########### iCellR object ##########
  • QC, filter, normalize, merge ADT and RNA data, run PCA and UMAP
# QC
my.obj <- qc.stats(my.obj,
	s.phase.genes = s.phase, 
	g2m.phase.genes = g2m.phase)

# plot as mentioned above

# filter 
my.obj <- cell.filter(my.obj,
	min.mito = 0,
	max.mito = 0.07 ,
	min.genes = 500,
	max.genes = 4000,
	min.umis = 0,
	max.umis = Inf)

# normalize RNA
my.obj <- norm.data(my.obj, norm.method = "ranked.glsf", top.rank = 500) 

# normalize ADT
my.obj <- norm.adt(my.obj)

# gene stats
my.obj <- gene.stats(my.obj, which.data = "main.data")

# find genes for PCA
my.obj <- make.gene.model(my.obj, my.out.put = "data",
	dispersion.limit = 1.5, 
	base.mean.rank = 500, 
	no.mito.model = T, 
	mark.mito = T, 
	interactive = F,
	no.cell.cycle = T,
	out.name = "gene.model")

# merge RNA and ADT data
my.obj <- adt.rna.merge(my.obj, adt.data = "main")

# run PCA and the rest is as above

my.obj <- run.pca(my.obj, method = "gene.model", gene.list = my.obj@gene.model,data.type = "main")

# 2 pass PCA 
my.obj <- find.dim.genes(my.obj, dims = 1:20,top.pos = 20, top.neg = 20)
# second round PC
my.obj <- run.pca(my.obj, method = "gene.model", gene.list = my.obj@gene.model,data.type = "main")

my.obj <- run.umap(my.obj, dims = 1:10)

# check your object 
my.obj
###################################
,--. ,-----.       ,--.,--.,------.
`--''  .--./ ,---. |  ||  ||  .--. '
,--.|  |    | .-. :|  ||  ||  '--'.'
|  |'  '--'\   --. |  ||  ||  |
`--' `-----' `----'`--'`--'`--' '--'
###################################
An object of class iCellR version: 1.1.4
Raw/original data dimentions (rows,columns): 20501,8617
Data conditions: no conditions/single sample
Row names: A1BG,A1BG-AS1,A1CF ...
Columns names: CTGTTTACACCGCTAG,CTCTACGGTGTGGCTC,AGCAGCCAGGCTCATT ...
###################################
   QC stats performed:TRUE, PCA performed:TRUE, CCA performed:FALSE
   Clustering performed:TRUE, Number of clusters:14
   tSNE performed:FALSE, UMAP performed:TRUE, DiffMap performed:FALSE
   Main data dimentions (rows,columns):20511,8305
   Normalization factors:8.448547776071,...
   Imputed data dimentions (rows,columns):0,0
############## scVDJ-Seq ###########
VDJ data dimentions (rows,columns):0,0
############## CITE-Seq ############
   ADT raw data dimentions (rows,columns):10,8617
   ADT main data dimentions (rows,columns):10,8617
   ADT columns names:CTGTTTACACCGCTAG...
   ADT row names:ADT_CD3...
########### iCellR object ##########
  • plot
# find ADT gene names 
grep("^ADT_", rownames(my.obj@main.data),value=T)
# [1] "ADT_CD3"    "ADT_CD4"    "ADT_CD8"    "ADT_CD45RA" "ADT_CD56"
# [6] "ADT_CD16"   "ADT_CD11c"  "ADT_CD14"   "ADT_CD19"   "ADT_CD34"

A = gene.plot(my.obj, 
	gene = "ADT_CD3",
	plot.data.type = "umap",
	interactive = F,
	cell.transparency = 0.5)

B = gene.plot(my.obj, 
	gene = "CD3E",
	plot.data.type = "umap",
	interactive = F,
	cell.transparency = 0.5)

C = gene.plot(my.obj, 
	gene = "ADT_CD16",
	plot.data.type = "umap",
	interactive = F,
	cell.transparency = 0.5)

D = gene.plot(my.obj, 
	gene = "FCGR3A",
	plot.data.type = "umap",
	interactive = F,
	cell.transparency = 0.5)
		
library(gridExtra)
grid.arrange(A,B,C,D)

How to analyze scVDJ-seq data using iCellR

Here is an example of how to add VDJ data.

###### an example file 
my.vdj <- read.csv(file = system.file('extdata', 'all_contig_annotations.csv',
              package = 'iCellR'),
              as.is = TRUE)
          
###
head(my.vdj)
#             barcode is_cell                   contig_id high_confidence length
#1 AAACCTGTCCGAACGC-1    True AAACCTGTCCGAACGC-1_contig_1            True    654
#2 AAACCTGTCCGAACGC-1    True AAACCTGTCCGAACGC-1_contig_2            True    697
#3 AAACCTGTCCGAACGC-1    True AAACCTGTCCGAACGC-1_contig_3           False    496
#4 AAACCTGTCCGAACGC-1    True AAACCTGTCCGAACGC-1_contig_4            True    539
#5 AAACCTGTCGATGAGG-1    True AAACCTGTCGATGAGG-1_contig_1            True    705
#6 AAACCTGTCGATGAGG-1    True AAACCTGTCGATGAGG-1_contig_2            True    491
#  chain  v_gene d_gene  j_gene c_gene full_length productive           cdr3
#1   TRB TRBV4-1   None TRBJ2-7  TRBC2        True       True    CASSQGVEQYF
#2   TRA TRAV8-1   None  TRAJ42   TRAC        True       True  CAVKGGSQGNLIF
#3   TRB    None   None TRBJ1-4  TRBC1       False       None           None
#4 Multi    None   None  TRAJ10  TRBC1       False       None           None
#5   TRB TRBV5-5  TRBD1 TRBJ2-7  TRBC1        True       True CASSLVSGGNEQYF
#6   TRB    None   None TRBJ1-2  TRBC1       False       None           None
#                                     cdr3_nt reads umis raw_clonotype_id
#1          TGCGCCAGCAGCCAAGGGGTCGAGCAGTACTTC 42610   19     clonotype150
#2    TGTGCCGTGAAGGGAGGAAGCCAAGGAAATCTCATCTTT 12297    4     clonotype150
#3                                       None  4314    1     clonotype150
#4                                       None  2212    1     clonotype150
#5 TGTGCCAGCAGCTTGGTCTCAGGGGGAAACGAGCAGTACTTC 21148    8       clonotype2
#6                                       None 17717   16       clonotype2
#          raw_consensus_id
#1 clonotype150_consensus_1
#2 clonotype150_consensus_2
#3                     None
#4                     None
#5   clonotype2_consensus_1
#6                     None

#### Prepare the vdj file
    My.VDJ <- prep.vdj(vdj.data = my.vdj, cond.name = "NULL")
###
head(My.VDJ)
#  raw_clonotype_id            barcode is_cell                   contig_id
#1       clonotype1 ACGCCAGCAAGCGCTC.1    True ACGCCAGCAAGCGCTC-1_contig_2
#2       clonotype1 AACGTTGAGTACGATA.1    True AACGTTGAGTACGATA-1_contig_2
#3       clonotype1 AACTCTTGTCAAAGCG.1    True AACTCTTGTCAAAGCG-1_contig_1
#4       clonotype1 AACGTTGAGTACGATA.1    True AACGTTGAGTACGATA-1_contig_1
#5       clonotype1 ACGCCAGCAAGCGCTC.1    True ACGCCAGCAAGCGCTC-1_contig_1
#6       clonotype1 ACGATGTTCTGGTATG.1    True ACGATGTTCTGGTATG-1_contig_2
#  high_confidence length chain  v_gene d_gene  j_gene c_gene full_length
#1            True    571   TRA  TRAV27   None  TRAJ37   TRAC        True
#2            True    730   TRA  TRAV27   None  TRAJ37   TRAC        True
#3            True    722   TRB TRBV6-3  TRBD2 TRBJ1-1  TRBC1        True
#4            True    723   TRB TRBV6-3  TRBD2 TRBJ1-1  TRBC1        True
#5            True    722   TRB TRBV6-3  TRBD2 TRBJ1-1  TRBC1        True
#6            True    726   TRA  TRAV27   None  TRAJ37   TRAC        True
#  productive           cdr3                                    cdr3_nt reads
#1       True CAGGRSSNTGKLIF TGTGCAGGAGGACGCTCTAGCAACACAGGCAAACTAATCTTT 14241
#2       True CAGGRSSNTGKLIF TGTGCAGGAGGACGCTCTAGCAACACAGGCAAACTAATCTTT 27679
#3       True CASRTGAGATEAFF TGTGCCAGCAGGACCGGGGCGGGAGCCACTGAAGCTTTCTTT 51844
#4       True CASRTGAGATEAFF TGTGCCAGCAGGACCGGGGCGGGAGCCACTGAAGCTTTCTTT 38120
#5       True CASRTGAGATEAFF TGTGCCAGCAGGACCGGGGCGGGAGCCACTGAAGCTTTCTTT 24635
#6       True CAGGRSSNTGKLIF TGTGCAGGAGGACGCTCTAGCAACACAGGCAAACTAATCTTT 13720
#  umis       raw_consensus_id my.raw_clonotype_id clonotype.Freq proportion
#1    8 clonotype1_consensus_2          clonotype1             43  0.1572212
#2   10 clonotype1_consensus_2          clonotype1             43  0.1572212
#3   24 clonotype1_consensus_1          clonotype1             43  0.1572212
#4   23 clonotype1_consensus_1          clonotype1             43  0.1572212
#5   11 clonotype1_consensus_1          clonotype1             43  0.1572212
#6    7 clonotype1_consensus_2          clonotype1             43  0.1572212
#  total.colonotype
#1              109
#2              109
#3              109
#4              109
#5              109
#6              109

####
png('vdj.stats.png',width = 16, height = 8, units = 'in', res = 300)
vdj.stats(My.VDJ)
dev.off()

### add vdj data to you object 
my.obj <- add.vdj(demo.obj, vdj.data = My.VDJ)

Another example with multiple files

# First read the vdj data

File="all_contig_annotations.csv"
my.vdj.data <- read.csv(File)

# then see the conditions
my.obj

# For each condition (WT,KO, ...) subset from the VDJ data

Get="WT"
#######
dat <- colnames(my.obj@main.data)
name <- paste(Get,".tsv",sep="")
do <- grep(Get,dat, value=T)
do <- as.character(as.matrix(data.frame(do.call('rbind', strsplit(as.character(do),'_',fixed=TRUE)))[2]))
do <- gsub("\\.","-",do)
do <- subset(my.vdj.data, my.vdj.data$barcode %in% do)
write.table((do),file=name,sep="\t", row.names =F)
#######

Get="KO"
#######
dat <- colnames(my.obj@main.data)
name <- paste(Get,".tsv",sep="")
do <- grep(Get,dat, value=T)
do <- as.character(as.matrix(data.frame(do.call('rbind', strsplit(as.character(do),'_',fixed=TRUE)))[2]))
do <- gsub("\\.","-",do)
do <- subset(my.vdj.data, my.vdj.data$barcode %in% do)
write.table((do),file=name,sep="\t", row.names =F)
#######

#### read and prep all conditions
Get="WT"
name <- paste(Get,".tsv",sep="")
do <- read.table(name, header=T)
WT <- prep.vdj(vdj.data = do, cond.name = Get)

Get="KO"
name <- paste(Get,".tsv",sep="")
do <- read.table(name, header=T)
KO <- prep.vdj(vdj.data = do, cond.name = Get)

# concatenate all the conditions
my.vdj.data <- rbind(WT, KO)

# see head of the file
head(my.vdj.data)
#  raw_clonotype_id               barcode is_cell                   contig_id
#1       clonotype1 WT_AAACCTGAGCTAACTC-1    True AAACCTGAGCTAACTC-1_contig_1
#2       clonotype1 WT_AAACCTGAGCTAACTC-1    True AAACCTGAGCTAACTC-1_contig_2
#3       clonotype1 WT_AGTTGGTTCTCGCATC-1    True AGTTGGTTCTCGCATC-1_contig_3
#4       clonotype1 WT_TGACAACCAACTGCTA-1    True TGACAACCAACTGCTA-1_contig_1
#5       clonotype1 WT_TGTCCCAGTCAAACTC-1    True TGTCCCAGTCAAACTC-1_contig_1
#6       clonotype1 WT_TGTCCCAGTCAAACTC-1    True TGTCCCAGTCAAACTC-1_contig_2
#  high_confidence length chain  v_gene d_gene  j_gene c_gene full_length
#1            True    693   TRA TRAV8-1   None  TRAJ21   TRAC        True
#2            True    744   TRB  TRBV28  TRBD1 TRBJ2-1  TRBC2        True
#3            True    647   TRA TRAV8-1   None  TRAJ21   TRAC        True
#4            True    508   TRB  TRBV28  TRBD1 TRBJ2-1  TRBC2        True
#5            True    660   TRA TRAV8-1   None  TRAJ21   TRAC        True
#6            True    770   TRB  TRBV28  TRBD1 TRBJ2-1  TRBC2        True
#  productive             cdr3                                          cdr3_nt
#1       True      CAVKDFNKFYF                TGTGCCGTGAAAGACTTCAACAAATTTTACTTT
#2       True CASSLFSGTGTNEQFF TGTGCCAGCAGTTTATTTTCCGGGACAGGGACGAATGAGCAGTTCTTC
#3       True      CAVKDFNKFYF                TGTGCCGTGAAAGACTTCAACAAATTTTACTTT
#4       True CASSLFSGTGTNEQFF TGTGCCAGCAGTTTATTTTCCGGGACAGGGACGAATGAGCAGTTCTTC
#5       True      CAVKDFNKFYF                TGTGCCGTGAAAGACTTCAACAAATTTTACTTT
#6       True CASSLFSGTGTNEQFF TGTGCCAGCAGTTTATTTTCCGGGACAGGGACGAATGAGCAGTTCTTC
#  reads umis       raw_consensus_id my.raw_clonotype_id clonotype.Freq
#1  1241    2 clonotype1_consensus_1          clonotype1            120
#2  2400    4 clonotype1_consensus_2          clonotype1            120
#3  1090    2 clonotype1_consensus_1          clonotype1            120
#4  2455    4 clonotype1_consensus_2          clonotype1            120
#5  1346    2 clonotype1_consensus_1          clonotype1            120
#6  3073    8 clonotype1_consensus_2          clonotype1            120
#  proportion total.colonotype
#1 0.04098361             1292
#2 0.04098361             1292
#3 0.04098361             1292
#4 0.04098361             1292
#5 0.04098361             1292
#6 0.04098361             1292

# add it to iCellR object
my.obj <- add.vdj(my.obj, vdj.data = my.vdj.data)

How to plot clonotypes

# once you have imported your clonotype data to your iCellR object, in order to plot them you need to have the following parapmeters:
# -1 clonotype name (e.g. clono = "clonotype1")
# -2 which column number has the clonotype names (e.g. clonotype.column = 2)
# -3 which column number has the cell barcode names (e.g. barcode.column = 1)

# In order to plot you need 2 things a- cell barcodes that match the barcodes in UMAP,PCA,tSNE or KNetL data and b- clonotype names.

# to check your clonotype data do this (example):

head(my.obj@vdj.data)

#  raw_clonotype_id_SampleID                MyBarcodes                 V1
#1            S5_clonotype98 Nor2.A_AAACCTGAGACAGACC.1 AAACCTGAGACAGACC.1
#2            S5_clonotype98 Nor2.A_AAACCTGAGACAGACC.1 AAACCTGAGACAGACC.1
#3           S4_clonotype100 Nor2.B_AAACCTGAGAGACTAT.1 AAACCTGAGAGACTAT.1
#4           S4_clonotype100 Nor2.B_AAACCTGAGAGACTAT.1 AAACCTGAGAGACTAT.1
#5             S3_clonotype3 Nor1.B_AAACCTGAGAGTCGGT.1 AAACCTGAGAGTCGGT.1
#6            S5_clonotype99 Nor2.A_AAACCTGAGATATGGT.1 AAACCTGAGATATGGT.1
#                barcode SampleID raw_clonotype_id is_cell
#1 S5_AAACCTGAGACAGACC.1        5      clonotype98    True
#2 S5_AAACCTGAGACAGACC.1        5      clonotype98    True
#3 S4_AAACCTGAGAGACTAT.1        4     clonotype100    True
#4 S4_AAACCTGAGAGACTAT.1        4     clonotype100    True
#5 S3_AAACCTGAGAGTCGGT.1        3       clonotype3    True
#6 S5_AAACCTGAGATATGGT.1        5      clonotype99    True
#                    contig_id high_confidence length chain   v_gene d_gene
#1 AAACCTGAGACAGACC-1_contig_2            True    514   TRB   TRBV14   None
#2 AAACCTGAGACAGACC-1_contig_1            True    495   TRB TRBV20-1   None
#3 AAACCTGAGAGACTAT-1_contig_2            True    496   TRB    TRBV9   None
#4 AAACCTGAGAGACTAT-1_contig_1            True    529   TRA TRAV26-1   None
#5 AAACCTGAGAGTCGGT-1_contig_1            True    512   TRB  TRBV6-5   None
#6 AAACCTGAGATATGGT-1_contig_2            True    544   TRA TRAV12-2   None
#   j_gene c_gene full_length productive             cdr3
#1 TRBJ1-5  TRBC1        True       True  CASSFEGGSTQPQHF
#2 TRBJ2-7  TRBC2        True       True  CSARVRGRSSYEQYF
#3 TRBJ2-2  TRBC2        True       True   CASSVGVNTGELFF
#4  TRAJ52   TRAC        True       True CIVRGAGGTSYGKLTF
#5 TRBJ1-1  TRBC1        True       True    CASSYRPNTEAFF
#6  TRAJ33   TRAC        True       True    CAVKRDSNYQLIW
#                                           cdr3_nt reads umis
#1    TGTGCCAGCAGTTTTGAGGGGGGATCGACTCAGCCCCAGCATTTT   886    1
#2    TGCAGTGCTAGAGTAAGGGGACGGAGCTCCTACGAGCAGTACTTC  1912    3
#3       TGTGCCAGCAGCGTGGGCGTAAACACCGGGGAGCTGTTTTTT 10804   12
#4 TGCATCGTCAGGGGGGCTGGTGGTACTAGCTATGGAAAGCTGACATTT   960    4
#5          TGTGCCAGCAGTTACCGCCCGAACACTGAAGCTTTCTTT  4286    6
#6          TGTGCCGTGAAAAGGGATAGCAACTATCAGTTAATCTGG  1244    2
#          raw_consensus_id my.raw_clonotype_id clonotype.Freq   proportion
#1  clonotype98_consensus_1      S5_clonotype98              1 0.0001983930
#2  clonotype98_consensus_2      S5_clonotype98              1 0.0001983930
#3 clonotype100_consensus_2     S4_clonotype100              1 0.0001923817
#4 clonotype100_consensus_1     S4_clonotype100              1 0.0001923817
#5   clonotype3_consensus_1       S3_clonotype3             49 0.0070635721
#6  clonotype99_consensus_1      S5_clonotype99              1 0.0001983930
#  total.colonotype
#1             5096
#2             5096
#3             5280
#4             5280
#5             5943
#6             5096


# In this example column number 1 and 2 have the clonotype and barcode info needed to plot. 

# Sort clonotype names with highset frequency:

clonotype.frequency <- as.data.frame(sort(table(as.character(as.matrix((my.obj@vdj.data)[1]))),decreasing = TRUE))

head(clonotype.frequency)
#           Var1 Freq
#1 S2_clonotype1  306
#2 S1_clonotype1  242
#3 S3_clonotype1  232
#4 S4_clonotype1  216
#5 S5_clonotype1  210
#6 S2_clonotype2  113

# let's plot S1_clonotype1 which is seen in 242 cells in all the conditions. 
# if you want to plot only in one condtion or few conditions use this option "conds.to.plot" (e.g. conds.to.plot = c("WT","KO"))
# If conds.to.plot = NULL it would plot all of them (all 242 cells). 

# Plot colonotype 1
clono.plot(my.obj, plot.data.type = "knetl",
   clonotype.column = 1,
   barcode.column = 2,
   clono = "S1_clonotype1",
   conds.to.plot = NULL,
   cell.transparency = 1,
   clust.dim = 2,
   interactive = F)
   
# plot multiple clonotypes 

ordered.clonotypes <- as.character(as.matrix((clonotype.frequency)[1]))

# let's plot top 19 clonotypes with highest frequency:
clonolist <- (ordered.clonotypes)[1:19]
clonolist
# [1] "S2_clonotype1" "S1_clonotype1" "S3_clonotype1" "S4_clonotype1"
# [5] "S5_clonotype1" "S2_clonotype2" "S3_clonotype2" "S1_clonotype2"
# [9] "S2_clonotype4" "S1_clonotype4" "S3_clonotype4" "S2_clonotype3"
#[13] "S4_clonotype2" "S1_clonotype3" "S4_clonotype3" "S5_clonotype2"
#[17] "S3_clonotype3" "S2_clonotype9" "S3_clonotype6"


rm(list = ls(pattern="PL_"))
for(i in clonolist){
   MyPlot <- clono.plot(my.obj, plot.data.type = "knetl",
   clonotype.column = 1,
   barcode.column = 2,
   clono = i,
   conds.to.plot = NULL,
   cell.transparency = 1,
   clust.dim = 2,
   interactive = F)
   NameCol=paste("PL",i,sep="_")
   eval(call("<-", as.name(NameCol), MyPlot))
}

library(cowplot)
filenames <- ls(pattern="PL_")

B= cluster.plot(my.obj,plot.type = "knetl",interactive = F,cell.size = 0.5,cell.transparency = 1,anno.clust=TRUE)
filenames <- c("B",filenames)

png("19_clonotypes.png",width = 20, height = 20, units = 'in', res = 300)
plot_grid(plotlist=mget(filenames))
dev.off()

How to analyze large bulk RNA-Seq data (TCGA)

In this example the samples are normalized using DESeq2 so no normalization is needed.

sample.file.url = "https://genome.med.nyu.edu/results/external/iCellR/data/TCGA_sample_Normalized_data.tsv.gz"

download.file(url = sample.file.url, 
     destfile = "TCGA_sample_Normalized_data.tsv.gz", 
     method = "auto")  

TCGA.data <- read.table("TCGA_sample_Normalized_data.tsv.gz")
head(TCGA.data)[1:3]
#         Basal_TCGA.A1.A0SK.txt Basal_TCGA.A1.A0SP.txt Basal_TCGA.A2.A04P.txt
#TSPAN6                5823.4300            4318.034382            5265.733258
#TNMD                     0.0000               6.049079               6.763079
#DPM1                  3248.1536            2528.515113            1183.538813
#SCYL3                 1059.7135             965.836315            1109.144945
#C1orf112              1251.3155            1070.687022             485.589067
#FGR                    106.2438             933.574559             512.641383

library(iCellR)
my.obj <- make.obj(TCGA.data)

my.obj@main.data <- my.obj@raw.data

my.obj
###################################
,--. ,-----.       ,--.,--.,------.
`--''  .--./ ,---. |  ||  ||  .--. '
,--.|  |    | .-. :|  ||  ||  '--'.'
|  |'  '--'\   --. |  ||  ||  |
`--' `-----' `----'`--'`--'`--' '--'
###################################
An object of class iCellR version: 1.2.4
Raw/original data dimentions (rows,columns): 69797,882
Data conditions in raw data: Basal,Her2,LumA,LumB,Normal (131,64,404,170,113)
Row names: TSPAN6,TNMD,DPM1 ...
Columns names: Basal_TCGA.A1.A0SK.txt,Basal_TCGA.A1.A0SP.txt,Basal_TCGA.A2.A04P.txt ...
###################################
   QC stats performed:FALSE, PCA performed:FALSE, CCA performed:FALSE
   Clustering performed:FALSE, Number of clusters:0
   tSNE performed:FALSE, UMAP performed:FALSE, DiffMap performed:FALSE
   Main data dimentions (rows,columns):69797,882
   Normalization factors:,...
   Imputed data dimentions (rows,columns):0,0
############## scVDJ-Seq ###########
VDJ data dimentions (rows,columns):0,0
############## CITE-Seq ############
   ADT raw data dimentions (rows,columns):0,0
   ADT main data dimentions (rows,columns):0,0
   ADT columns names:...
   ADT row names:...
########### iCellR object ##########


my.obj <- run.pca(my.obj)

my.obj <- run.clustering(my.obj, 
	clust.method = "kmeans", 
	dist.method = "euclidean",
	index.method = "silhouette",
	max.clust =25,
	min.clust = 2,
	dims = 1:10)

my.obj <- run.pc.tsne(my.obj, dims = 1:10)
my.obj <- run.umap(my.obj, dims = 1:10, method = "umap-learn") 

cluster.plot(my.obj,plot.type = "pca",cell.color = "black",col.by = "conditions",cell.transparency = 0.5,interactive = F)
cluster.plot(my.obj,plot.type = "umap",cell.color = "black",col.by = "conditions",cell.transparency = 0.5,interactive = F)
cluster.plot(my.obj,plot.type = "tsne",cell.color = "black",col.by = "conditions",cell.transparency = 0.5,interactive = F)
cluster.plot(my.obj,plot.type = "umap",cell.color = "black",cell.transparency = 1,interactive = F)

Cell type prediction using ImmGen, Mouse and Human Cell Atlas

To do this you need to download the following databse files from our iCellR data link (more data to come soon).

# download the .rda files from here: https://genome.med.nyu.edu/results/external/iCellR/data/ 
# Load the .rda files as below

load("Immgen.GSE109125.205.rda")
load("Immgen.GSE122108.412.rda")
load("Immgen.GSE122597.83.rda")
load("Immgen.GSE124829.190.rda")
load("Immgen.microarray.GSE15907.653.rda")
load("Immgen.microarray.GSE37448.189.rda")
load("immgen.rna.rda")
load("immgen.uli.rna.rda")
load("mouse.cell.atlas.rda") 
Key Source Samples Description Cell Types
GSE109125 ImmGen 205 83 populations representing all lineages and several differentiation cascades prepared from unchallenged mice and after LPS, anti-CD3, viral infection cell activation. B Cells, Stromal Cells, Dendritic Cells, Granulocytes, Innate Lymphocytes, Stem Cells, Macrophages, ab T Cells, gd T Cells
GSE122108 ImmGen 412 130 populations comprising progenitors, residents, and stimulated (C.alb, LPS, injury, APAP+ starved overnight and pIC) mononuclear phagocytes for OpenSource MNP Project. Macrophages, Kupffer Cell/Macrophages, Dendritic Cells, Microglia, Monocytes.
GSE122597 ImmGen 83 Five highly purified immunocyte populations profiled to unusual depth as multiple replicates (8 to 16). Suitable for exploration of genes expressed at very low levels. NK Cells, Follicular B, Naive CD4+ abT, gdT cells and peritoneal macrophages.
GSE124829 ImmGen 190 11 diverse immunocyte populations from male and female mice of varying ages stimulated with different dose of IFN to understand the immune system's sexual differences. B Cells, Dendritic Cells, Neutrophils, Macrophages, Natural Killer T Cells, ab T Cells, gd T Cells, Microglia, Regulatory T Cells.
GSE15907 ImmGen 653 178 populations compromiing of gene-expression microarray datasets ("version1" labeling) from primary cells from multiple immune lineages are isolated ex-vivo, primarily from 6weeks B6 male mice. gd T Cells, ab T Cells, Dendritic Cells, Macrophages, Stem Cells, B Cells, Stromal Cells, Neutrophils, Fibroblast, NK Cells, NK T Cells, Monocytes, CD4 Naive T Cell.
GSE37448 ImmGen 189 80 populations compromising of gene-expression microarray datasets ("version2" labeling) from primary cells from multiple immune lineages are isolated ex-vivo, primarily from 6weeks B6 male mice. Complements the V1 compendium with additional cells. Unfortunately, the version change in the labeling process, while more efficient, introduced some biases such that the two sections of the data can be compared grossly, but not at fine resolution (we tried...). gd T Cells, ab T Cells, Dendritic Cells, Macrophages, Stem Cells, B Cells, Stromal Cells, Neutrophils, Fibroblast, NK Cells, NK T Cells, Monocytes, CD4 Naive T Cell.
rna ImmGen 23 Full depth directional RNA sequencing was performed on the core ImmGen populations to generate reference datasets for the tissues from 5 week-old C57BL/6J (Jackson Laboratory) males and females, double-sorted by flow cytometry, per ImmGen cell preparation SOP. B, CD4T, CD8T, DC, MQ,NK, NKT, Treg
uli.rna ImmGen 157
mca Mouse Cell Atlas 43 tissues Constructed as a basic scheme for the Mouse Cell Atlas using Microwell-seq. Uterus, TrophoblastStemCells, Thymus, Testis, Stomach, Spleen, SmallIntestine, Prostate, Placenta, PeripheralBlood, Pancreas, Ovary, NeontalBrain, NeonatalSkin, NeonatalRib, NeonatalMuscle, NeonatalHeart, NeonatalCalvaria, Muscle, Mouse3T3, MesenchymalStemCellsPrimary, MesenchymalStemCells, MammaryGland.Virgin, MammaryGland.Pregnancy, MammaryGland.Lactation, MammaryGland.Involution, Male.fetal.Gonad, Lung, Liver, Kidney, FetalStomach, FetalLung, FetalLiver, FetalKidney, FetalIntestine, FetalBrain, Female.fetal.Gonad, EmbryonicStemCells, EmbryonicMesenchyme, Brain, BoneMarrowcKit, BoneMarrow, Bladder

Choose a cluster and take for example top 10 genes for that cluster and then choose one of the databases that is best for you from the above list and predict your cell type. Note that if you have B cells for example and the database of your choice dose not have B cells, it would predict the closest looking cells to B cells. So it's important to use the right database for the right type of data.

# Choose top 40 genes for cluster 8 for example
MyGenes <- top.markers(marker.genes, topde = 40, min.base.mean = 0.2, cluster = 8)

####### predict
# plot 
cell.type.pred(immgen.data = "rna", gene = MyGenes, plot.type = "point.plot")

cell.type.pred(immgen.data = "uli.rna", gene = MyGenes, plot.type = "point.plot", top.cell.types = 50)
 
cell.type.pred(immgen.data = "rna", gene = MyGenes, plot.type = "heatmap")
 
cell.type.pred(immgen.data = "uli.rna", gene = MyGenes, plot.type = "heatmap")

# As you can see cluster 8 is most likely to be B-cells. 

# more examples
cell.type.pred(immgen.data = "GSE109125", gene = MyGenes, plot.type = "point.plot", top.cell.types = 50)

cell.type.pred(immgen.data = "GSE37448", gene = MyGenes, plot.type = "heatmap", top.cell.types = 50)

# for tissue type prediction use this:
cell.type.pred(immgen.data = "mca", gene = MyGenes, plot.type = "point.plot")

# And finally check the genes in the cells and find the common ones to predict
heatmap.gg.plot(my.obj, gene = MyGenes, interactive = F, cluster.by = "clusters") 

You can automate this for all the clusters as below. Add as many plot as you wish.

Clusters = sort(unique(my.obj@best.clust$clusters))


for(i in Clusters){
	Cluster = i
	MyGenes <- top.markers(marker.genes, topde = 10, min.base.mean = 0.2, cluster = Cluster)
# first plot
Name <- paste("ImmGen_Cluster_",Cluster,"_pointPlot_RNA.pdf",sep="")
pdf(Name, width = 10, height = 10)
print(cell.type.pred(immgen.data = "rna", gene = MyGenes, plot.type = "point.plot"))
dev.off()
# second plot
Name <- paste("ImmGen_Cluster_",Cluster,"_check.pdf",sep="")
pdf(Name, width = 10, height = 10)
print(heatmap.gg.plot(my.obj, gene = MyGenes, interactive = F, cluster.by = "clusters"))
dev.off()
}
  • Pathway analysis
# Pathway  
# pathways.kegg(my.obj, clust.num = 7) 
# this function is being improved and soon will be available

Spatial Transcriptomics (ST) analysis

In this example, we have downloaded 2 samples from 10X genomics website. You can get the data from these links: Anterior and Posterior. To make it easier you can also use the commands below to download from our server.

# download sample data 
url = "https://genome.med.nyu.edu/results/external/iCellR/example7_Spatial_Transcriptomic/V1_Mouse_Brain_Sagittal_Anterior_Section_2_filtered_feature_bc_matrix.tar.gz"

# download the file
download.file(url = url,
    destfile = "V1_Mouse_Brain_Sagittal_Anterior_Section_2_filtered_feature_bc_matrix.tar.gz",
    method = "auto")


url ="https://genome.med.nyu.edu/results/external/iCellR/example7_Spatial_Transcriptomic/V1_Mouse_Brain_Sagittal_Anterior_Section_2_spatial.tar.gz"

# download the file
download.file(url = url,
    destfile = "V1_Mouse_Brain_Sagittal_Anterior_Section_2_spatial.tar.gz",
    method = "auto")

url ="https://genome.med.nyu.edu/results/external/iCellR/example7_Spatial_Transcriptomic/V1_Mouse_Brain_Sagittal_Posterior_Section_2_filtered_feature_bc_matrix.tar.gz"

# download the file
download.file(url = url,
    destfile = "V1_Mouse_Brain_Sagittal_Posterior_Section_2_filtered_feature_bc_matrix.tar.gz",
    method = "auto")

url ="https://genome.med.nyu.edu/results/external/iCellR/example7_Spatial_Transcriptomic/V1_Mouse_Brain_Sagittal_Posterior_Section_2_spatial.tar.gz"

# download the file
download.file(url = url,
    destfile = "V1_Mouse_Brain_Sagittal_Posterior_Section_2_spatial.tar.gz",
    method = "auto") 
#########################
##### untar
untar("V1_Mouse_Brain_Sagittal_Anterior_Section_2_filtered_feature_bc_matrix.tar.gz")
untar("V1_Mouse_Brain_Sagittal_Anterior_Section_2_spatial.tar.gz")

file.rename("spatial","spatial_Anterior2")
file.rename("filtered_feature_bc_matrix","filtered_feature_bc_matrix_Anterior2")

untar("V1_Mouse_Brain_Sagittal_Posterior_Section_2_filtered_feature_bc_matrix.tar.gz")
untar("V1_Mouse_Brain_Sagittal_Posterior_Section_2_spatial.tar.gz")

file.rename("spatial","spatial_Posterior2")
file.rename("filtered_feature_bc_matrix","filtered_feature_bc_matrix_Posterior2")
  • Load the data
library(iCellR)

Anterior2 <- load10x("filtered_feature_bc_matrix_Anterior2",gene.name = 2)
Posterior2 <- load10x("filtered_feature_bc_matrix_Posterior2",gene.name = 2)

# if you want to analyze both samples
Samples <- c("Anterior2","Posterior2")
my.data <- data.aggregation(samples = Samples, condition.names = Samples)

# if you want to analyze 1 sample
# my.data <- load10x("filtered_feature_bc_matrix_Posterior2",gene.name = 2)

my.obj <- make.obj(my.data)


Anterior2 <- capture.image.10x("spatial_Anterior2")
Posterior2 <- capture.image.10x("spatial_Posterior2")

# if you want to analyze both samples
Samples <- c("Anterior2","Posterior2")
my.obj <- add.10x.image(my.obj,
         image.data.list = Samples, condition.names = Samples)

# if one sample
# My.image <- image.capture.10x("Post2_spatial")
# my.obj <- add.10x.image(my.obj, image.data.list = "My.image")

my.obj
###################################
,--. ,-----.       ,--.,--.,------.
`--''  .--./ ,---. |  ||  ||  .--. '
,--.|  |    | .-. :|  ||  ||  '--'.'
|  |'  '--'\   --. |  ||  ||  |
`--' `-----' `----'`--'`--'`--' '--'
###################################
An object of class iCellR version: 1.6.0
Raw/original data dimentions (rows,columns): 31053,6118
Data conditions in raw data: Anterior2,Posterior2 (2825,3293)
Row names: A030001D20Rik,A030003K21Rik,A030005K14Rik ...
Columns names: Anterior2_AAACAAGTATCTCCCA.1,Anterior2_AAACACCAATAACTGC.1,Anterior2_AAACAGAGCGACTCCT.1 ...
###################################
  QC stats performed:FALSE, PCA performed:FALSE
  Clustering performed:FALSE, Number of clusters:0
  tSNE performed:FALSE, UMAP performed:FALSE, DiffMap performed:FALSE
  Main data dimensions (rows,columns): 0,0
  Normalization factors:,...
  Imputed data dimensions (rows,columns):0,0
############## scVDJ-seq ###########
VDJ data dimentions (rows,columns):0,0
############## CITE-seq ############
  ADT raw data  dimensions (rows,columns):0,0
  ADT main data  dimensions (rows,columns):0,0
  ADT columns names:...
  ADT row names:...
############## scATAC-seq ############
  ATAC raw data  dimensions (rows,columns):0,0
  ATAC main data  dimensions (rows,columns):0,0
  ATAC columns names:...
  ATAC row names:...
############## Spatial ###########
Spatial data dimentions (rows,columns):9984,5
########### iCellR object ##########

The rest of the analysis is just like regular scRNA-Seq. Filter, normalize, run PCA, tSNE, UMAP, KNetL map and cluster. Then you can start ploting as below:

A=spatial.plot(my.obj,col.by = "clusters",conds.to.plot = "Anterior2",interactive= F)
B=spatial.plot(my.obj,col.by = "clusters",conds.to.plot = "Posterior2",interactive= F)
C= cluster.plot(my.obj,plot.type = "tsne",interactive = F,cell.size = 0.5,cell.transparency = 1, anno.clust=T)
D= cluster.plot(my.obj,plot.type = "tsne",col.by = "conditions",interactive = F,cell.size = 0.5,cell.transparency = 1, anno.clust=T)
E=spatial.plot(my.obj,col.by = "gene", gene = c("Cd4"), conds.to.plot = "Anterior2",interactive= F, scaleValue = TRUE)
F=spatial.plot(my.obj,col.by = "gene", gene = c("Cd4"), conds.to.plot = "Posterior2",interactive= F, scaleValue = TRUE)

library(gridExtra)
png('AllClusts.png', width = 8, height = 8, units = 'in', res = 300)
grid.arrange(A,B,C,D,E,F)
dev.off()

Single cell ATAC sequencing with scRNA-Seq (scATAC-Seq)

library("iCellR")
my.data <- load10x("filtered_gene_bc_matrices/")

# see the row names
row.names(my.data)

# get peak names
ATAC <- grep("^chr",row.names(my.data),value=T)

# get scATAC data
MyATAC <- subset(my.data, row.names(my.data) %in% ATAC)
head(MyATAC)[1:3]
#                   AAACAGCCAAGTGAAC.1 AAACAGCCACTGACCG.1 AAACAGCCATGATTGT.1
#chr1.181218.181695                  0                  0                  1
#chr1.191296.191699                  0                  0                  0
#chr1.629770.630129                  0                  0                  0
#chr1.633806.634251                  0                  0                  0
#chr1.778422.779040                  0                  0                  0
#chr1.827306.827702                  0                  0                  0

dim(MyATAC)
# [1] 21923  6326

# get RNA data
MyRNAs <- subset(my.data, !row.names(my.data) %in% ATAC)
head(MyRNAs)[1:3]
#            AAACAGCCAAGTGAAC.1 AAACAGCCACTGACCG.1 AAACAGCCATGATTGT.1
#MIR1302.2HG                  0                  0                  0
#FAM138A                      0                  0                  0
#OR4F5                        0                  0                  0
#AL627309.1                   0                  0                  0
#AL627309.3                   0                  0                  0
#AL627309.2                   0                  0                  0

dim(MyRNAs)
#[1] 36633  6326

# make iCellR object
my.obj <- make.obj(MyRNAs)

# add ATAC-Seq data
my.obj@atac.raw <- MyATAC
my.obj@atac.main <- MyATAC

# check your object
my.obj


###################################
,--. ,-----.       ,--.,--.,------.
`--''  .--./ ,---. |  ||  ||  .--. '
,--.|  |    | .-. :|  ||  ||  '--'.'
|  |'  '--'\   --. |  ||  ||  |
`--' `-----' `----'`--'`--'`--' '--'
###################################
An object of class iCellR version: 1.6.2
Raw/original data dimentions (rows,columns): 24127,6326
Data conditions: no conditions/single sample
Row names: MIR1302.2HG,TTLL10.AS1,MRPL20.AS1 ...
Columns names: AAACAGCCAAGTGAAC.1,AAACAGCCACTGACCG.1,AAACAGCCATGATTGT.1 ...
###################################
   QC stats performed:FALSE, PCA performed:FALSE
   Clustering performed:FALSE, Number of clusters:0
   tSNE performed:FALSE, UMAP performed:FALSE, DiffMap performed:FALSE
   Main data dimensions (rows,columns): 0,0
   Normalization factors:,...
   Imputed data dimensions (rows,columns):0,0
############## scVDJ-seq ###########
VDJ data dimentions (rows,columns):0,0
############## CITE-seq ############
   ADT raw data  dimensions (rows,columns):0,0
   ADT main data  dimensions (rows,columns):0,0
   ADT columns names:...
   ADT row names:...
############## scATAC-seq ############
   ATAC raw data  dimensions (rows,columns):21923,6326
   ATAC main data  dimensions (rows,columns):21923,6326
   ATAC columns names:AAACAGCCAAGTGAAC.1...
   ATAC row names:chr1.181218.181695...
############## Spatial ###########
Spatial data dimentions (rows,columns):0,0
########### iCellR object ##########

From here do the regular scRNA-seq as expleind above. See example below

# QC
my.obj <- qc.stats(my.obj,
   s.phase.genes = s.phase, 
   g2m.phase.genes = g2m.phase)

# plot as mentioned above

# filter 
my.obj <- cell.filter(my.obj,
   min.mito = 0,
   max.mito = 0.07 ,
   min.genes = 500,
   max.genes = 4000,
   min.umis = 0,
   max.umis = Inf)

# normalize RNA
my.obj <- norm.data(my.obj, norm.method = "ranked.glsf", top.rank = 500) 

# normalize ADT
my.obj <- norm.adt(my.obj)

# gene stats
my.obj <- gene.stats(my.obj, which.data = "main.data")

# find genes for PCA
my.obj <- make.gene.model(my.obj, my.out.put = "data",
   dispersion.limit = 1.5, 
   base.mean.rank = 500, 
   no.mito.model = T, 
   mark.mito = T, 
   interactive = F,
   no.cell.cycle = T,
   out.name = "gene.model")

# run PCA and the rest is as above

my.obj <- run.pca(my.obj, method = "gene.model", gene.list = my.obj@gene.model,data.type = "main")

# tSNE
my.obj <- run.pc.tsne(my.obj, dims = 1:10)

# UMAP
my.obj <- run.umap(my.obj, dims = 1:10)

# KNetL
my.obj <- run.knetl(my.obj, dims = 1:20, zoom = 200, dim.redux = "umap") 

# clustering based on KNetL

my.obj <- iclust(my.obj, sensitivity = 200, data.type = "knetl")

# clustering based on PCA

# my.obj <- iclust(my.obj, sensitivity = 100, data.type = "pca", dims=1:10) 

# check clusters and adjust if needed (optinal)
# cluster.plot(my.obj,plot.type = "knetl",interactive = F,cell.size = 0.5,cell.transparency = 1, anno.clust=T)
# my.obj <- change.clust(my.obj, change.clust = 3, to.clust = 4)
# my.obj <- change.clust(my.obj, change.clust = 3, to.clust = 10)

# order clusters
my.obj <- clust.ord(my.obj,top.rank = 500, how.to.order = "distance")


# plot
A= cluster.plot(my.obj,plot.type = "pca",interactive = F,cell.size = 0.5,cell.transparency = 1, anno.clust=T)
B= cluster.plot(my.obj,plot.type = "umap",interactive = F,cell.size = 0.5,cell.transparency = 1, anno.clust=T)
C= cluster.plot(my.obj,plot.type = "tsne",interactive = F,cell.size = 0.5,cell.transparency = 1, anno.clust=T)
D= cluster.plot(my.obj,plot.type = "knetl",interactive = F,cell.size = 0.5,cell.transparency = 1, anno.clust=T)

library(gridExtra)
png('AllClusts.png', width = 12, height = 10, units = 'in', res = 300)
grid.arrange(A,B,C,D)
dev.off()

# save object
save(my.obj, file = "my.obj.Robj")

# find markers 
marker.genes <- findMarkers(my.obj,
data.type = "main",
fold.change = 2,
padjval = 0.1,
uniq = F,
positive = T)

marker.genes1 <- cbind(row = rownames(marker.genes), marker.genes)
write.table((marker.genes1),file="marker.genes.tsv", sep="\t", row.names =F)

MyGenes <- top.markers(marker.genes, topde = 10, min.base.mean = 0.2, filt.ambig = F)
MyGenes <- unique(MyGenes)

png('heatmap_gg_genes.png', width = 10, height = 10, units = 'in', res = 300)
heatmap.gg.plot(my.obj, gene = MyGenes, interactive = F, cluster.by = "clusters",cell.sort = F, conds.to.plot = NULL)
dev.off()

Work on scATAC data (normalize and find marker peaks for each cluster)

# normalize ACAT
my.obj <- norm.data(my.obj, norm.method = "ranked.glsf", top.rank = 500, ATAC.data = TRUE, ATAC.filter = TRUE) 

marker.peaks <- findMarkers(my.obj,
 data.type = "atac",
 fold.change = 2,
 padjval = 0.1,
 uniq = F,
 positive = T)
 
marker.peaks1 <- cbind(row = rownames(marker.peaks), marker.peaks)
write.table((marker.peaks1),file="marker.peaks.tsv", sep="\t", row.names =F)

head(marker.peaks1)
#                                             row   baseMean     baseSD
#chr17.64986035.64986113   chr17.64986035.64986113 0.01217359 0.18257818
#chr1.26542287.26542678     chr1.26542287.26542678 0.05828764 0.80077656
#chr4.8199063.8199275         chr4.8199063.8199275 0.04280424 0.56205649
#chr20.50274929.50275237   chr20.50274929.50275237 0.04684509 0.63361490
#chr2.218382038.218382236 chr2.218382038.218382236 0.03122394 0.31153105
#chr11.1760469.1760814       chr11.1760469.1760814 0.07050175 0.63322284
#                         AvExpInCluster AvExpInOtherClusters foldChange
#chr17.64986035.64986113      0.07868394          0.002346603  33.530999
#chr1.26542287.26542678       0.33849093          0.016887273  20.044144
#chr4.8199063.8199275         0.24803497          0.012481148  19.872769
#chr20.50274929.50275237      0.27007513          0.013862584  19.482308
#chr2.218382038.218382236     0.17736269          0.009631770  18.414340
#chr11.1760469.1760814        0.39043782          0.023230813  16.806894
#                         log2FoldChange         pval         padj clusters
#chr17.64986035.64986113        5.067424 1.187697e-05 2.875415e-02        1
#chr1.26542287.26542678         4.325109 3.653916e-05 8.539202e-02        1
#chr4.8199063.8199275           4.312721 6.059691e-06 1.489472e-02        1
#chr20.50274929.50275237        4.284093 2.871301e-05 6.779143e-02        1
#chr2.218382038.218382236       4.202758 6.359572e-10 1.677019e-06        1
#chr11.1760469.1760814          4.070981 6.813447e-11 1.800794e-07        1
#                                             gene    cluster_1   cluster_2
#chr17.64986035.64986113   chr17.64986035.64986113 0.0786839378 0.000000000
#chr1.26542287.26542678     chr1.26542287.26542678 0.3384909326 0.008895062
#chr4.8199063.8199275         chr4.8199063.8199275 0.2480349741 0.038672840
#chr20.50274929.50275237   chr20.50274929.50275237 0.2700751295 0.028703704
#chr2.218382038.218382236 chr2.218382038.218382236 0.1773626943 0.000000000
#chr11.1760469.1760814       chr11.1760469.1760814 0.3904378238 0.004537037
#                           cluster_3    cluster_4    cluster_5    cluster_6
#chr17.64986035.64986113  0.000000000 0.0000000000 0.0006934750 0.0010038760
#chr1.26542287.26542678   0.031485714 0.0029244992 0.0052261002 0.0041264535
#chr4.8199063.8199275     0.000000000 0.0007226502 0.0027450683 0.0113212209
#chr20.50274929.50275237  0.027092857 0.0121741140 0.0041820941 0.0051516473
#chr2.218382038.218382236 0.004292857 0.0042095532 0.0006722307 0.0038561047
#chr11.1760469.1760814    0.071678571 0.0177288136 0.0141820941 0.0061099806
#                           cluster_7   cluster_8
#chr17.64986035.64986113  0.003099029 0.009080357
#chr1.26542287.26542678   0.047110680 0.044484375
#chr4.8199063.8199275     0.014819417 0.028651786
#chr20.50274929.50275237  0.025499029 0.028765625
#chr2.218382038.218382236 0.011988350 0.035508929
#chr11.1760469.1760814    0.042093204 0.050708705

MyGenes <- top.markers(marker.peaks, topde = 10, min.base.mean = 0.2, filt.ambig = F)
MyGenes <- unique(MyGenes)

png('heatmap_gg_peaks.png', width = 10, height = 10, units = 'in', res = 300)
heatmap.gg.plot(my.obj, gene = MyGenes, interactive = F, cluster.by = "clusters",cell.sort = F, conds.to.plot = NULL, data.type = "atac")
dev.off()

my.obj <- run.impute(my.obj,data.type = "knetl", nn = 10, ATAC.data = FALSE)


png('heatmap_gg_peaks.png', width = 10, height = 10, units = 'in', res = 300)
heatmap.gg.plot(my.obj, gene = MyGenes, interactive = F, cluster.by = "clusters",cell.sort = F, conds.to.plot = NULL, data.type = "atac.imputed")
dev.off()

## you can also find avarage peak intensity per cluster

my.obj <- clust.avg.exp(my.obj, data.type = "atac")
head(my.obj@clust.avg)

#gene  cluster_1  cluster_2	...
#chr1.100037799.100038931 0.38238731 0.36750000	...
#chr1.100132733.100133298 0.11195725 1.13593827	...
#chr1.100249637.100250160 0.09851425 0.09511728	...
#chr1.100265992.100266479 0.06768394 0.17707407	...
#chr1.10032488.10033387 0.35273705 0.14885802	...
#chr1.100352150.100352921 0.12006088 0.00000000	...

# find out which cluster has the highest number 

dat <- as.data.frame(t((my.obj@clust.avg)[,-1]))
dat <- hto.anno(hto.data = dat)

head(dat$assignment.annotatio)
#[1] cluster_1 cluster_2 cluster_4 cluster_2 cluster_3 cluster_4
#8 Levels: cluster_1 cluster_2 cluster_3 cluster_4 cluster_5 ... cluster_8

Peak analysis

# make a bed file per cluster from the marker.peaks file you made up here
make.bed(marker.peaks)

# load packages 
library(ChIPseeker)
library(clusterProfiler)

# load genome
require(TxDb.Hsapiens.UCSC.hg38.knownGene)
txdb <- TxDb.Hsapiens.UCSC.hg38.knownGene
Anno="org.Hs.eg.db"

# load bed files
Mylist1 = list.files(pattern=".bed")
Mylist1
 
Mylist <- as.list(Mylist1)
NAMES <- gsub('_peaks.bed','',Mylist1)
names(Mylist) <- NAMES
files <- Mylist
files

# perform analysis (example)
promoter <- getPromoters(TxDb=txdb, upstream=3000, downstream=3000)
tagMatrixList <- lapply(files, getTagMatrix, windows=promoter)

pdf("Plot_ProfileLineAll.pdf")
plotAvgProf(tagMatrixList, xlim=c(-3000, 3000))
dev.off()

pdf('Plot_ProfileLine.pdf', width = 8, height = 10)
plotAvgProf(tagMatrixList, xlim=c(-3000, 3000), facet="row")
dev.off()

pdf("Plot_heatmaps.pdf", width = 50, height = 6)
tagHeatmap(tagMatrixList, xlim=c(-3000, 3000), color=NULL)
dev.off()
 
# annotate
peakAnnoList <- lapply(files, annotatePeak, TxDb=txdb,
                       tssRegion=c(-3000, 3000), verbose=FALSE)
# plot annotatin
pdf("Plot_AnnoBar.pdf")
plotAnnoBar(peakAnnoList)
dev.off()

############### peak annotation

peakAnnoList <- lapply(files, annotatePeak, TxDb=txdb,
                       tssRegion=c(-3000, 3000), verbose=FALSE, annoDb=Anno)

capture.output(peakAnnoList, file = "peakAnnoList.txt")

genes = lapply(peakAnnoList, function(i) as.data.frame(i))

lapply(1:length(genes), function(i) write.table(genes[[i]],
                                      file = paste0(names(genes[i]), ".xls"),
                                      row.names = FALSE, sep="\t"))

Merging scATAC files with different intervals (as dipicted in bedtools website)

# Let's say you have 2 files that you need to merege

# example file
C <- load10x("count-JJsn_C_cDNA/",gene.name = 2)
M <- load10x("count-JJsn_M_cDNA/",gene.name = 2)

ATAC.C <- grep("^chr",row.names(C),value=T)
ATAC.M <- grep("^chr",row.names(M),value=T)

MyATAC.C <- subset(C, row.names(C) %in% ATAC.C)
MyATAC.M <- subset(M, row.names(M) %in% ATAC.M)

head(MyATAC.C)[1:3]

C <- MyATAC.C
M <- MyATAC.M

dim(C)
#[1] 58678  4211
dim(M)
#[1] 57776  4736

f1 <- row.names(C)
f2 <- row.names(M)

all.peaks <- c(f1,f2)
length(all.peaks)
#[1] 116454

# make a bed file
chr <- as.character(as.matrix(data.frame(do.call('rbind', strsplit(as.character(all.peaks),'.',fixed=TRUE)))[1]))
start <- data.frame(do.call('rbind', strsplit(as.character(all.peaks),'.',fixed=TRUE)))[2]
end <- data.frame(do.call('rbind', strsplit(as.character(all.peaks),'.',fixed=TRUE)))[3]

DAT <- as.data.frame(chr)
DAT$start <- as.numeric(as.matrix(start))
DAT$end <- as.numeric(as.matrix(end))
head(DAT)
#   chr  start    end
#1 chr1 181218 181695
#2 chr1 191296 191699
#3 chr1 629770 630129
#4 chr1 633806 634251
#5 chr1 778422 779040
#6 chr1 827306 827702

# make Genomic Ranges
library("GenomicRanges")

all.gr <- GRanges(seqnames=DAT$chr,ranges=IRanges(start=DAT$start,end=DAT$end))

all.gr
#GRanges object with ?? ranges and 0 metadata columns:
#       seqnames          ranges strand
#          <Rle>       <IRanges>  <Rle>
#   [1]     chr1   181218-181695      *
#   [2]     chr1   191296-191699      *
#   [3]     chr1   629770-630129      *
#   [4]     chr1   633806-634251      *
#   [5]     chr1   778422-779040      *
#   ...      ...             ...    ...
#  [52]     chr1 1303892-1306216      *
#  [53]     chr1 1307242-1309359      *
#  [54]     chr1 1324425-1325236      *
#  [55]     chr1 1348940-1349958      *
#  [56]     chr1 1372031-1372220      *
#  -------
#  seqinfo: 1 sequence from an unspecified genome; no seqlengths

################## sort and merge the peaks

mrg <- reduce(all.gr)

#Before merge
length(all.gr)
#[1] 116454
#after merge
length(mrg)
#[1] 71426

########################## choose file and give name
MyFile <- f1
name="f1_new.bed"
########################## copy paste the code here to make a new bed file
########################## the new bed has the old and new intervals (new intervals to be replaced with old)

chr <- as.character(as.matrix(data.frame(do.call('rbind', strsplit(as.character(MyFile),'.',fixed=TRUE)))[1]))
start <- data.frame(do.call('rbind', strsplit(as.character(MyFile),'.',fixed=TRUE)))[2]
end <- data.frame(do.call('rbind', strsplit(as.character(MyFile),'.',fixed=TRUE)))[3]
# make a bed file
DAT <- as.data.frame(chr)
DAT$start <- as.numeric(as.matrix(start))
DAT$end <- as.numeric(as.matrix(end))
MyFile <- DAT

# make intrval file to replace to new regions
MyFile.gr <- GRanges(seqnames=MyFile$chr,ranges=IRanges(start=MyFile$start,end=MyFile$end))

OverLap <- findOverlaps(MyFile.gr, mrg)

OLD1 <- (OverLap@from)
NEW1 <- (OverLap@to)

OLD = MyFile.gr[OLD1]
NEW = mrg[NEW1]

chr <- as.character(OLD@seqnames)
DAT <- as.data.frame(chr)
DAT$start <- OLD@ranges@start
DAT$end <- (OLD@ranges@start + OLD@ranges@width) - 1

DAT$new.chr<- as.character(NEW@seqnames)
DAT$new.start <- NEW@ranges@start
DAT$new.end <- (NEW@ranges@start + NEW@ranges@width) - 1

head(DAT)
#   chr   start     end new.chr new.start new.end
#1 chr1 3247563 3248453    chr1   3247563 3248453
#2 chr1 3360706 3361554    chr1   3360706 3361554
#3 chr1 3552372 3553230    chr1   3552372 3553230
#4 chr1 3645171 3646034    chr1   3645093 3646034
#5 chr1 3670318 3671081    chr1   3670318 3671090
#6 chr1 3671326 3672230    chr1   3671314 3672230

dim(DAT)
#58678     6
length(MyFile.gr)
#58678

# diff

have = mrg[unique(NEW1)]
dontHave = mrg[-unique(NEW1)]

ADD <- dontHave
L <- length(as.character(ADD@seqnames))
chr <-rep("NA",L)
DAT1 <- as.data.frame(chr)
DAT1$start <- rep("NA",L)
DAT1$end <- rep("NA",L)
DAT1$new.chr<- as.character(ADD@seqnames)
DAT1$new.start <- ADD@ranges@start
DAT1$new.end <- (ADD@ranges@start + ADD@ranges@width) - 1

Final.DAT <- rbind(DAT,DAT1)

##### Write

write.table(Final.DAT,name,row.names=FALSE,sep="\t", quote = FALSE)

### reapeat this process for f2 (M) as well

# The first 3 columns are the original peaks and the last 3 are the ones that need to be replaced with original one. The NA peaks would also get the new peak ids but in the matrix the cells will have 0 for expressions. To do this use the iCellR function replace.peak.id.

MyATAC.C <- replace.peak.id(atac.data=MyATAC.C, bed.file = Final.DAT.C)
MyATAC.M <- replace.peak.id(atac.data=MyATAC.M, bed.file = Final.DAT.M)

# finally aggregate the samples and add to iCellR object

my.atac.data <- data.aggregation(samples = c("MyATAC1","MyATAC2","MyATAC3"),
	condition.names = c("WT","KO","Ctrl"))
	
# add ATAC-Seq data
[email protected] <- my.atac.data
[email protected] <- my.atac.data

About

Single (i) Cell R package (iCellR) is an interactive R package to work with high-throughput single cell sequencing technologies (i.e scRNA-seq, scVDJ-seq, scATAC-seq, CITE-Seq and Spatial Transcriptomics (ST)).

Topics

Resources

Stars

Watchers

Forks

Packages

No packages published