-
-
Notifications
You must be signed in to change notification settings - Fork 739
Description
We are given the root node of a maximum tree: a tree where every node has a value greater than any other value in its subtree.
Just as in the previous problem, the given tree was constructed from an list A (root = Construct(A)) recursively with the following Construct(A) routine:
- If
Ais empty, returnnull. - Otherwise, let
A[i]be the largest element ofA. Create arootnode with valueA[i]. - The left child of
rootwill beConstruct([A[0], A[1], ..., A[i-1]]) - The right child of
rootwill beConstruct([A[i+1], A[i+2], ..., A[A.length - 1]]) - Return
root.
Note that we were not given A directly, only a root node root = Construct(A).
Suppose B is a copy of A with the value val appended to it. It is guaranteed that B has unique values.
Return Construct(B).
Example 1:
Input: root = [4,1,3,null,null,2], val = 5
Output: [5,4,null,1,3,null,null,2]
Explanation: A = [1,4,2,3], B = [1,4,2,3,5]
Example 2:
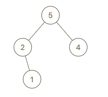
Input: root = [5,2,4,null,1], val = 3
Output: [5,2,4,null,1,null,3] Explanation: A = [2,1,5,4], B = [2,1,5,4,3]
Example 3:
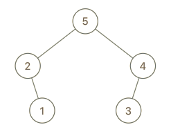
Input: root = [5,2,3,null,1], val = 4
Output: [5,2,4,null,1,3] Explanation: A = [2,1,5,3], B = [2,1,5,3,4]
Constraints:
1 <= B.length <= 100
这道题完全是基于之前那道 Maximum Binary Tree 出的,没做上面这道就不太好理解这道题的意思,简单说一下,之前那道题就是给了一个数组,然后用其中最大的值当作根结点,且左边的子数组递归生成左子树,右边的子数组递归生成右子树。而这道题没有给初始数组,而是给了一个已经按这种方式生成的二叉树,然后说是在生成该二叉树的原数组的后面加上一个数字 val,让返回生成新的二叉树。最笨的方法就是先根据二叉树还原出原数组,然后在加上 val,再次调用 Maximum Binary Tree 中的方法生成的新的二叉树。这种方法可以通过 OJ,但是感觉不太聪明的样子,其实这道题有很简洁的解法,几行就搞定了。由于新的数字 val 一定是加在数组的末尾的,其在数组中的大小关系就变的很重要了,由于数组中的最大值将作为根结点,若 val 是最大值,则其一定是新的根结点,原二叉树直接变成其左子树了,直接就得到了结果。若 val 小于当前数组的最大值,则其一定是在右子树中,则可以对最大值右边的子数组调用递归函数,即对根结点的右子结点调用递归函数,将返回的结点更新为新的右子结点即可,参见代码如下:
class Solution {
public:
TreeNode* insertIntoMaxTree(TreeNode* root, int val) {
if (root && root->val > val) {
root->right = insertIntoMaxTree(root->right, val);
return root;
}
return new TreeNode(val, root, nullptr);
}
};
Github 同步地址:
类似题目:
参考资料:
https://leetcode.com/problems/maximum-binary-tree-ii/
https://leetcode.com/problems/maximum-binary-tree-ii/discuss/242897/Java-clean-recursive-solution





